1. Home
  2. UTC Development
  3. Antibody-Enzyme Conjugate Development
  4. Antibody-directed Enzyme Prodrug Therapy (ADEPT) Development
  5. Antibody-Penicillin Amidase Conjugate Development

Antibody-Penicillin Amidase Conjugate Development Services

Creative Biolabs provides a full range of services for antibody-directed enzyme prodrug therapy (ADEPT) development. With advanced technique platforms and professional scientist team, we are capable of providing antibody-penicillin amidase conjugate service for ADEPT based cancer immunotherapy.

Penicillin Amidase

Penicillin amidase, also called penicillin acylase, has the ability to catalyze chemical reaction. This enzyme is a member of the hydrolases family, those acting on carbon-nitrogen bonds specifically in linear amides except for peptide bonds. The systematic name of this enzyme class is penicillin amidohydrolase. Other names used include penicillin acylase, benzylpenicillin acylase, novozym 217 and so on. This enzyme is involved in penicillin and cephalosporin biosynthesis.

MOA of Penicillin Amidase

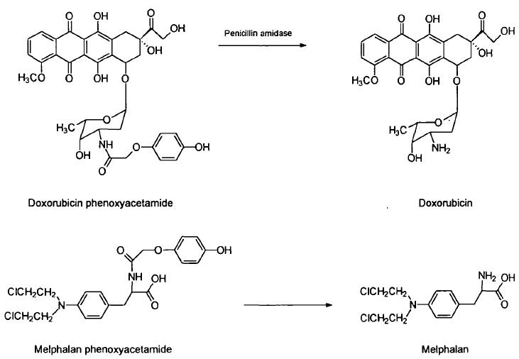
Penicillin amidase enzyme catalyzes the cleavage of prodrug such as palytoxin or Doxorubicin-phenoxy acetamide yielding effective drug palytoxin and doxorubicin, respectively. The toxicity of palytoxin is applied for the treatment of tumor. Na+/K+-ATPase is a transmembrane protein, which is on the surface of every vertebrate cell including tumor cell. The sodium-potassium pump is crucial for the viability of all cells. Upon palytoxin binding to the sodium-potassium pump, monovalent positive ions such as sodium and potassium can diffuse freely, thereby destroy the ion gradient of the cell. Doxorubicin can inhibit the replication of the DNA to kill tumor cells.

Antibody-penicillin Amidase Conjugate-based ADEPT

ADEPT is an antibody directed at a tumor-associated antigen and vectoring a specific enzyme to the tumor site. Penicillin amidase has been used as an effective enzyme in this therapeutic strategy. Two monoclonal antibodies, L6 (anti-carcinoma) and 1F5 (anti-B cell lymphoma), are linked to the enzyme penicillin-V amidase (PVA) to explore the potential of mAb-enzyme conjugates for the localization of chemotherapeutic drugs at tumor cells. The phenoxy acetamide derivatives of doxorubicin and melphalan are hydrolyzed by PVA to doxorubicin and melphalan respectively. In vitro studies showed that the toxicity of these drugs was substantially increased when the H2981 cells were pretreated with L6-PVA or the Daudi cells were pretreated with 1F5-PVA. Studies have shown that the cytotoxic effect is antigen-specific and the binding mAb-enzyme conjugate could increase the cytotoxicity of the prodrug.

Creative Biolabs is committed to helping you develop antibody-penicillin amidase conjugate for ADEPT research in a timely and cost-effective manner. Our customarily tailored services and high-quality products will contribute greatly to the success of your projects. Please contact us for more information and a detailed quote.


For Research Use Only. NOT FOR CLINICAL USE.

UTC Development
ADC
Related Sections
Antibody-Enzyme Conjugate Development Services:
Universal Therapeutic Conjugate (UTC) Development:

Online Inquiry

Name:
Phone:
*E-mail Address:
*Products or Services Interested:
Company/Institution
Project Description:

Welcome! For price inquiries, please feel free to contact us through the form on the left side. We will get back to you as soon as possible.