1. Home
  2. ADC Development
  3. DrugLnk™ Custom Linker-Payload Synthesis
  4. Linker Module Synthesis
  5. β-Glucuronide Linker Synthesis

β-Glucuronide Linker Synthesis Service

Based on our advanced "DrugLnk" organic synthesis platform, scientists from Creative Biolabs offers comprehensive antibody-drug conjugate (ADC) development services using customarily tailored β-glucuronide linkers with best quality and in a highly productive and cost-effective manner.

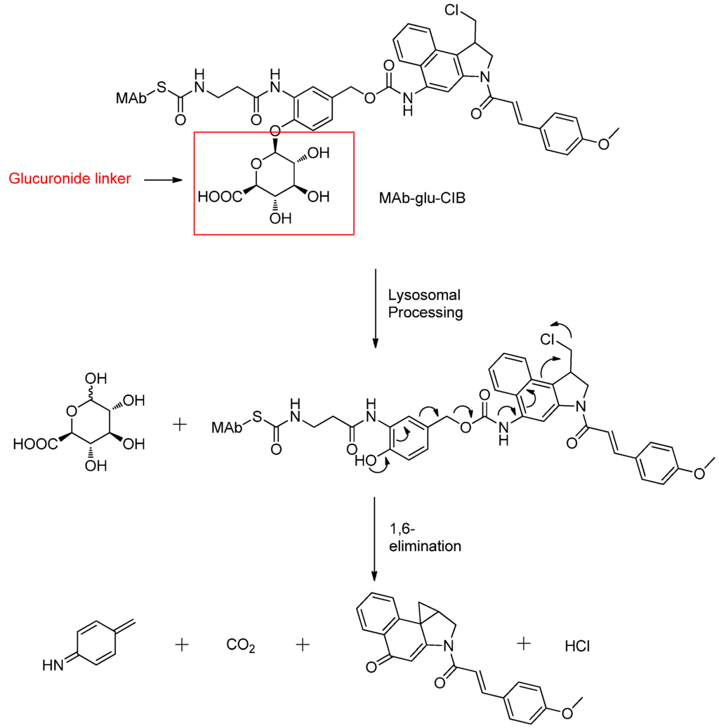
A linker is an important component in an ADC and mediates many of its physical and chamical parameters, including solubility, stability, drug release mechanism…. By their chemical nature, linker are divided into two major categories: cleavable linkers and non-cleavable linkers. β-Glucuronide linkers are a family of enzymatically cleavable linkers that mediate payload drug release via the linker hydrolysis by the lysosomal enzyme β-glucuronidase (GUSB) within tumor cells. By design, the β-glucuronic acid-based linkers are developed as a novel class of linkers or as an extension of the peptide-based linker strategies to provide ADCs with high solubility and plasma stability. It has also been reported in several cases where the glucuronide-linked drug conjugates showed minimal aggregation and great efficacy, rendering β-glucuronide linkers highly promising in ADC development.

By structure, β-glucuronide linkers incorporate a hydrophilic sugar group (β-glucuronic acid) into the linker moiety. Facile release of the active drug can be achieved through cleavage of the β-glucuronide glycosidic bond by GUSB, an important lysosomal enzyme that is involved in the degradation of glucuronate-containing glycosaminoglycan. GUSB is abundant in lysosomes and is overexpressed in some tumor types but exert low extracellular activities. Thus, this strategy effectively enhances the plasma stability of the ADCs in the systemic circulation to prevent off-target drug release and in the meantime, promote selective intracellular cytotoxin release upon ADC internalization. Furthermore, the incoporation of the highly hydrophilic β-glucuronide can help circumvent the tendency of some ADCs, particularly those bearing highly hydrophobic drugs, to undergo aggregation, adding another advantege for this strategy.

β-Glucuronide linkers have been used in several ADC development studies in combination with toxic payloads such as auristatins, camptothecin, doxorubicin analogues, and psymberin…. The ADCs prepared using β-Glucuronide linkers are found to be highly stable in plasma, well tolerated at high doses, and efficacious both in vitro and in vivo.

Fig.1 The structural formula of MAb-glu-CIB and the supposed cleavage mechanism after internalization into the lysosome.Fig.1 Examples of payload drugs for ADC development using β-Glucuronide linkers.1,2

Scientists at Creative Biolabs are experinced with β-glucuronide linkers and drug- β-glucuronide linker complex preparation. To fulfill customers’ specific demands, with the advanced "DrugLnk" platform, we are dedicated in providing customized design services using β-glucuronide linkers for ADC developments. Depending on the antibody, payload drug, and tumor target, we will design or select the most suited linker to achieve targeted drug delivery. In the meantime, we also provide other services for the benefit of ADC development. Please feel free to contact us for more information and a detailed quote.

References:

  1. Lu, Jun, et al. "Linkers having a crucial role in antibody–drug conjugates." International journal of molecular sciences 17.4 (2016): 561.
  2. Distributed under Open Access License CC BY 4.0, without modification.

For Research Use Only. NOT FOR CLINICAL USE.

ADC Development
ADC
Related Sections
DrugLnk™ Custom Linker-Payload Synthesis Services:
One-Stop ADC Development Services:

Online Inquiry

Name:
Phone:
*E-mail Address:
*Products or Services Interested:
Company/Institution
Project Description:

Welcome! For price inquiries, please feel free to contact us through the form on the left side. We will get back to you as soon as possible.