Custom Bridged Nucleic Acid Synthesis Service

Introduction

Our Custom Bridged Nucleic Acid (BNA) Synthesis service addresses oligonucleotide stability, specificity, and delivery challenges that slow nucleic acid drug development. Leveraging advanced BNA expertise, we provide tailored oligonucleotides with unparalleled stability, binding affinity, enhanced nuclease resistance, superior specificity, and improved uptake, serving as potent tools for gene silencing, diagnostics, and therapeutic development.

[Discover How We Can Help - Request a Consultation]

Custom Bridged Nucleic Acid Synthesis Process

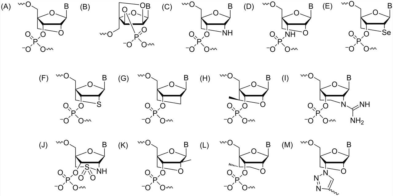
Common molecular structure diagrams of BNA, including LNA C2' -amino-LNA, 3' -amino-2 ',4'-LNA, selenium-based -LNA, etc. (OA Literature)Fig.1 A schematic diagram of the commonly used BNA molecular structure.1

Bridged Nucleic Acids (BNAs) are a class of artificial nucleic acid analogs distinguished by a covalent bridge between the 2'-oxygen and 4'-carbon of the ribose sugar. This five- or six-membered bridged structure effectively "locks" the sugar into a C3'-endo conformation, mimicking the conformation of RNA. This rigid structure is the fundamental reason for BNA's enhanced biophysical properties, including its high affinity for complementary DNA and RNA strands and its remarkable stability against enzymatic degradation by nucleases.

Category Specific content
Core Properties
  • Thermodynamic stability: The melting temperature (Tm) of duplexes formed with complementary nucleic acids rises markedly.
  • Structural rigidity: Bridging groups restrict the flexibility of sugar rings and reduce non-specific binding.
  • Chemical stability: High resistance to nuclease degradation, with a half-life much longer than that of natural nucleic acids.
  • Biocompatibility: It can be recognized by enzymes, and some types (such as ENA) have relatively low toxicity.
Main Classifications of BNA
Classification BNA Features
According to the chemical structure of the bridging group LNA (Locking Nucleic Acid) The bridging group is methylene (-CH2-), and the sugar ring is locked in a 3' -internal conformation. It is the most widely used and has a strong binding force.
ENA (Ethylene Bridging Nucleic Acid) The bridging group is vinyl (-CH2-CH2-), and its water solubility and biocompatibility are superior to LNA.
cENA ENA derivatives have stronger conformational restrictions and enhance targeting specificity.
Amide-BNA The bridging contains amide bonds (-CONH-), featuring both high stability and low toxicity.
Ureido-BNA The bridging contains urea groups (-NH-CO-NH-), which enhance hydrogen bonding and ensure a stable binding force at low temperatures.
Thio-BNA It bridges sulfur-containing atoms (such as -O-CH2-S-), optimizes hydrophilicity and hydrophobicity, and has strong resistance to nucleases.
According to the bridging points 2',4' -bridged BNA Bridging 2' -oxygen and 4' -carbon (such as LNA, ENA) is the most common and the mainstream design for enhancing binding force.
3',5' -bridged BNA Bridging the 3' -position and 5' -position is relatively rare. It mainly regulates the flexibility of nucleic acid chains and is used for the construction of rigid probes.
According to the function and application scenarios Highly specific BNAs (such as cENA, LNA) It can distinguish single-base mismatches and is used for molecular diagnosis (SNP detection, viral mutation analysis, etc.).
Highly stable BNAs (such as Thio-BNA, Amide-BNA) It has strong anti-enzymatic hydrolysis ability and is suitable for in vivo application (ASO for gene therapy, siRNA vectors, etc.).
Water-soluble optimized BNA (such as ENA) It solves the problem of poor water solubility of LNA, facilitates the preparation of high-concentration solutions, and is suitable for cell transfection experiments.
Other special types Bicyclic BNA (bicyclic BNA) It contains two bridging groups, has a bicyclic structure, is extremely rigid, and has a binding force that exceeds that of single-bridged BNA, making its synthesis highly difficult.
Gemini-BNA (Gemini BNA) Two BNA units combine through linkers to form dimers, which can simultaneously bind to double-stranded DNA and are used for gene editing localization.

Workflow

  1. Required Starting Materials

    • Target Sequence Information: The specific DNA or RNA sequence you aim to target.
    • Desired Modifications: Any specific BNA monomers or other chemical modifications you wish to incorporate.
    • Application Details: A brief overview of your intended application (e.g., in vitro diagnostic assay, in vivo gene silencing, antisense research) to guide design considerations.
  2. Synthesis

    Through a meticulous solid-phase phosphoramidite process, our BNA oligonucleotide synthesis service sequentially incorporates BNA and standard DNA/RNA phosphoramidite building blocks onto a solid-bound elongating chain.

  3. Purification

    Creative Biolabs uses advanced HPLC or PAGE to isolate high-purity full-length BNAs, removing shorter sequences and contaminants. Additional steps may be added for research- or clinical-grade purity in sensitive applications.

  4. Quality Control

    • Mass Spectrometry: Used to accurately determine the molecular weight of the synthesized BNA oligonucleotide, confirming the correct sequence and incorporation of all modifications.
    • Analytical HPLC: Provides a precise assessment of the oligonucleotide's purity, quantifying the percentage of full-length product and identifying any remaining impurities.
    • Melting Temperature Analysis: For critical applications, Tm analysis is performed to verify the binding affinity of the BNA oligonucleotide to its complementary strand, ensuring its functional performance.
    • Gel Electrophoresis: May be used as a supplementary method to check for size and integrity.
  5. Final Deliverables

    • Purified Custom BNA Oligonucleotides: Ready for your experimental applications.
    • Certificate of Analysis (CoA): Detailing purity, concentration, and molecular weight.
    • Comprehensive Synthesis Report: Outlining the synthesis parameters and QC data.
  6. Estimated Timeframe

    The typical timeframe for our Custom Bridged Nucleic Acid Synthesis service ranges from 3 to 6 weeks, depending on the complexity of the sequence, the number and type of modifications, and the desired synthesis scale.

What We Can Offer?

    • Customized BNA Design & Synthesis: Tailored sequences with specific BNA monomers and modifications to meet unique project needs and maximize desired properties.
    • Enhanced Oligonucleotide Performance: BNAs with superior binding affinity, exceptional nuclease resistance, and improved in vivo stability, critical for therapeutics and diagnostics.
    • Comprehensive Quality Control: Rigorous testing (Mass Spectrometry, HPLC) to guarantee identity, purity, and functional integrity of each BNA oligonucleotide.
    • Expert Consultation & Support: Scientists provide guidance from design optimization to delivery, ensuring seamless workflow integration.

[Experience the Creative Biolabs Advantage - Get a Quote Today]

Customer Reviews

"Using Creative Biolabs' Custom Bridged Nucleic Acid Synthesis in our gene silencing research has significantly improved the in vivo stability of our oligonucleotides, leading to more consistent and potent knockdown. The nuclease resistance is truly remarkable compared to standard DNA/RNA."

2024, Dr. A**am

"The enhanced binding affinity of the BNA-modified probes from Creative Biolabs has greatly facilitated our SNP detection assays, allowing us to differentiate highly similar targets with unprecedented precision. This has streamlined our diagnostic development process."

2023, Dr. E***n

"Creative Biolabs' custom BNA synthesis has been invaluable for our gapmer antisense research. The ability to mix BNAs with DNA and RNA, combined with their superior stability, provides immense flexibility and reliability for our therapeutic development efforts. Their quality control is top-notch."

2024, Prof. S***h

FAQs

How do BNAs achieve higher binding affinity compared to natural nucleic acids, and does this affect their specificity?

BNAs' enhanced binding affinity comes from their rigid sugar ring (locked by the bridging group), minimizing entropic loss during hybridization. This increases base-stacking and hydrogen bonding, raising Tm by 2–8°C per residue. Importantly, their constrained conformation boosts binding energy differences between matched and mismatched sequences, enabling effective SNP distinction without compromising specificity.

What challenges arise in the chemical synthesis of BNAs, especially for modified types like Amide-BNA or Bicyclic BNA?

Key challenges include:

  • Bridging group synthesis: Introducing complex bridges (e.g., amide or bicyclic groups) requires multi-step organic reactions with low yields, especially for chiral control of the sugar ring.
  • Coupling efficiency: BNA phosphoramidite monomers are bulkier than natural nucleotides, reducing coupling rates during solid-phase synthesis and increasing the risk of truncated products.
  • Purification complexity: BNA-containing oligonucleotides have similar hydrophobicity to impurities (e.g., failed sequences), making separation via HPLC or PAGE more demanding, particularly for long oligomers (> 20mer).

How do BNA's structural features impact their solubility, and what strategies address poor solubility during production?

BNAs, such as LNAs, have high hydrophobicity and poor water solubility due to the rigid non-polar bridging groups, which affects the development of therapeutic oligonucleotide preparations. Improvement strategies include: introducing hydrophilic linkers (such as PEG) into the skeleton; selecting ENA or amide-BNA (whose vinyl or Amide bridging groups enhance water solubility); When purifying, use a synthetic buffer containing co-solvent to prevent aggregation.

Do BNAs interact with cellular proteins differently than natural nucleic acids, and how does this affect their in vivo stability

The modified structure of BNAs reduces non-specific binding to serum proteins compared with unmodified oligonucleotides, lowers clearance rates, and prolongs half-lives. However, some types may strongly interact with RNA processing nucleases, potentially inhibiting enzyme activity. This can be mitigated through reasonable design, such as limiting the BNA incorporation amount of each oligonucleotide to 3-5 residues, or choosing ENA with better enzyme compatibility.

[Contact Our Team for More Information and to Discuss Your Project]

Reference

  1. Liczner, Christopher, et al. "Beyond ribose and phosphate: selected nucleic acid modifications for structure–function investigations and therapeutic applications." Beilstein Journal of Organic Chemistry 17.1 (2021): 908-931. DOI: 10.3762/bjoc.17.76. Distributed under Open Access license CC BY 4.0, without modification.

Online Inquiry

For research use only. Not intended for any clinical use.

This site is protected by reCAPTCHA and the Google Privacy Policy and Terms of Service apply.