0
Inquiry Basket

There is no product in the shopping cart, buy it!

N-Acetyl-D-Lactosamine (LacNAc)-Sialic Acid-type Glycoprotein Conjugation Service

Jump to Section

Online Inquiry

Necessity of Glycoprotein Conjugation

Glycoproteins are proteins that have sugar molecules attached to their amino acid sequences, typically connected via glycosidic bonds. Glycoproteins play an important role in biological processes such as cell communication, immune response, and cell recognition. Among them, N-acetyl-D-lactosamine (LacNAc) and sialic acid are common glycosyl structures. LacNAc is the core structure of many glycoproteins, while sialic acid is often used to regulate the stability and half-life of glycoproteins. Our conjugation service focuses on utilizing specific N-linked glycans, particularly those terminating in LacNAc-sialic acid structures, as bio-orthogonal handles for conjugation. By engineering or remodeling the native glycans on a glycoprotein to present these specific structures, Creative Biolabs provides highly uniform and accessible conjugation sites. Our Glycoprotein Conjugation Services help clients overcome these hurdles by enabling precise, site-specific attachment of payloads to glycoproteins, accelerating drug discovery and development through innovative glycoengineering techniques.

Professional Conjugation Technology

After the glycoprotein's N-glycans are precisely remodeled to LacNAc-Sia-type, specific chemical handles are introduced onto these glycans. Concurrently, the payload molecule is modified to include a reactive group that complements it. The reaction between these two highly specific and non-interfering chemical groups (bio-orthogonal pairs) allows for efficient and selective conjugation exclusively at the engineered glycan sites. We generally achieve glycoprotein conjugation through the following techniques.

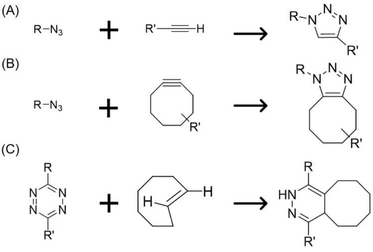
  • Click Chemistry (e.g., Copper-catalyzed Azide-Alkyne Cycloaddition, Strain-promoted Azide-Alkyne Cycloaddition): If the LacNAc-Sia-type glycan is engineered to carry an azide or alkyne group, a complementary alkyne or azide functionalized payload can be conjugated with high efficiency and specificity.
  • Aldehyde/Ketone Chemistry: If the glycan can be oxidized to generate an aldehyde, it can react with an aminooxy or hydrazide-functionalized payload.
  • Enzymatic Ligation: Certain enzymes are used to transfer or ligate specific functional groups onto the glycan, which then serve as conjugation points.

This principle ensures that conjugation occurs only at the desired glycan sites, leading to a highly homogeneous product.

Fig. 1. Diagrams of various click chemistry reactions. (OA Literature)Fig.1 Common click chemistry reactions.1

How to Provide Professional LacNAc-Sialic Acid-type Glycoprotein Conjugation Service?

Creative Biolabs offers a reliable LacNAc-Sia-type glycoprotein conjugation service, ensuring the accurate and uniform attachment of various payloads to glycoproteins. Our service offers highly characterized bioconjugates with defined drug-to-antibody ratios (DARs) and enhanced pharmacokinetic profiles, which are essential for developing advanced biologics, including antibody-drug conjugates (ADCs), diagnostic tools, and targeted therapeutics. Clients can expect enhanced product consistency, reduced heterogeneity, and accelerated progression of their research and development pipelines. Our optimized workflow guarantees effective and dependable conjugation, delivering high-quality, tailored bioconjugates to meet your needs.

01Glycoprotein Preparation and Engineering

We begin by preparing your target glycoprotein. This may involve expressing the protein in a suitable host system (e.g., mammalian cells) and, if necessary, engineering specific N-glycosylation sites to optimize for LacNAc-Sia-type glycan presentation. For existing glycoproteins, we ensure their purity and integrity.

02Glycan Remodeling to LacNAc-Sia-type

Utilizing advanced glycoengineering techniques, including chemo-enzymatic approaches, we precisely modify the N-glycans on your glycoprotein to predominantly feature LacNAc-Sia-type structures. This step is critical for creating the specific "handle" for subsequent conjugation.

03Payload Activation and Conjugation

The payload molecule is chemically activated with appropriate bio-orthogonal linkers (e.g., click chemistry handles, maleimide, or other specific chemistries) that are reactive towards the engineered LacNAc-Sia-type glycan. The activated payload is then reacted with the modified glycoprotein under optimized conditions to achieve site-specific and controlled conjugation.

04Purification of Conjugated Product

Post-conjugation, the reaction mixture undergoes rigorous purification steps, typically involving chromatography (e.g., size exclusion chromatography, ion exchange chromatography) to remove unconjugated payload, unreacted protein, and any reaction byproducts.

05Comprehensive Characterization

The final bioconjugate undergoes extensive analytical characterization to confirm successful conjugation, determine the exact drug-to-antibody ratio (DAR), assess homogeneity, and evaluate stability. Techniques include mass spectrometry, HPLC, SDS-PAGE, and other biophysical methods.

06Final Deliverables

Upon project completion, you will receive a purified bioconjugate and a detailed analytical report.

Advantages & Applications

Creative Biolabs is a leader in glycoengineering and bioconjugation, providing unmatched expertise and a dedication to achieving exceptional outcomes. Our proprietary methodologies ensure high homogeneity, site-specificity, and scalability, distinguishing us from conventional conjugation approaches. We take pride in our scientific thoroughness, cutting-edge facilities, and a committed team of experts. Our solutions lead to more consistent and effective bioconjugates, reducing downstream development risks and accelerating your path to market. The LacNAc-Sia-type glycoprotein conjugation service has a wide range of applications.

Antibody-drug conjugates (ADCs)

Enable the creation of next-generation ADCs with optimized DARs and improved therapeutic windows, leading to more potent and safer cancer therapies.

Diagnostic imaging agents

For precise labeling of antibodies or proteins with imaging probes (fluorophores, radioisotopes) for enhanced diagnostic accuracy.

Targeted drug delivery

Conjugation of therapeutic agents to targeting proteins for specific delivery to diseased cells or tissues.

Vaccine development

Creation of glycoconjugate vaccines with defined structures for improved immunogenicity and protection.

Biomaterials and biosensors

Functionalization of surfaces or nanoparticles with glycoproteins for advanced biosensing or biocompatible materials.

Creative Biolabs is your trusted partner for advanced glycoconjugation services, offering unparalleled precision and expertise to accelerate your biopharmaceutical development. Our GlcNAc-type, LacNAc-type, and LacNAc-Sia-type glycoprotein conjugation services offer a robust and homogeneous solution for creating next-generation biologics with enhanced efficacy and safety. Are you ready to advance your bioconjugation project? Don't hesitate to reach out to us to discuss your project needs!

FAQs

Q1: What kind of payloads can be conjugated using this technology?

A1: Our service is compatible with a broad spectrum of payloads, including small-molecule drugs, fluorophores, peptides, oligonucleotides, polymers (e.g., PEG), and other biomolecules. The key is that the payload can be functionalized with a complementary bio-orthogonal group.

Q2: What is the typical turnaround time for a project, and what factors might influence it?

A2: The typical timeframe ranges from 8 to 12 weeks, depending on the complexity of the glycoprotein, the nature of the payload, and the specific analytical requirements. Factors such as the need for protein expression, the number of conjugation sites, and the extent of characterization requested can influence the project duration. We provide a detailed timeline after the initial consultation.

Q3: Can Creative Biolabs assist with the design of the linker or the payload functionalization if we only have the raw payload?

A3: Absolutely! Our expert team provides comprehensive support, from designing suitable bio-orthogonal linkers to performing the necessary payload functionalization. We work closely with you to optimize every aspect of the conjugation strategy to ensure the best possible outcome for your specific application.

Customer Review

Accelerated Research!
"Creative Biolabs' service facilitated the rapid generation of fluorescently labeled glycoproteins for our cellular imaging studies. The consistent quality and specific labeling allowed us to obtain clearer data and accelerate our research timelines compared to non-site-specific labeling kits." - Dr. E. And***n.

Unmatched Precision!
"Using Creative Biolabs's LacNAc-sialic acid glycoprotein conjugation service in our ADC development has significantly improved the homogeneity and stability of our constructs, which was a persistent challenge with traditional methods. Their attention to detail and robust analytical characterization provided us with complete confidence in our downstream applications." - Ms. C. Wil***s.

Reference

  1. Takayama, Yukiya, Kosuke Kusamori, and Makiya Nishikawa. "Click chemistry as a tool for cell engineering and drug delivery." Molecules 24.1 (2019): 172. DOI: 10.3390/molecules24010172. Distributed under an Open Access license CC BY 4.0, without modification.

Related Services

For Research Use Only.

Online Inquiry
Creative Biolabs-Glycoprotein Contact Us Follow us on
Close
Thanksgiving
Thanksgiving