Creative Biolabs-Immuno-oncology

Affinity Measurement Service

Overview Publication Why Choose Us FAQs Customer Review Related Services Contact Us

Overview

To determine the kinetic properties of antibody-antigen interactions, Creative Biolabs employs various platforms to measure the affinity of the antibody or protein for the corresponding ligand which is critically important for understanding your molecule.

Affinity Measurement Services

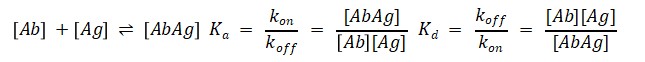
Antibody and antigen interactions are reversible and non-covalent which is formed by a combination of hydrophobic interactions, electrostatic and Vander Waals forces, and hydrogen bonds. The strength of antibody/antigen interactions is measured to determine the affinity which is defined by the basic thermodynamic principles. Any reversible biomolecular interaction follows this principle.

With extensive experience in measuring the kinetic and binding affinity of protein, Creative Biolabs has developed the following technologies for your flexible choices to best fit your project.

Platform Services
Industry leading Biacore T200 platform
  • Determining protein interactions.
Surface Plasmon Resonance (SPR) technology
  • Real-time measurement of label-free antibody/target interactions;
  • Determining antigen affinity constants;
  • A broad range of kinetic binding parameters such as Kd, Ka can be determined;
  • Can be used for proteins expressed in crude periplasmic extracts.
BLI-based Octet system
  • Kinetic properties of antibody/antigen interactions.

SPR measurements can also be applied in the following assays, in addition to determining the kinetic affinity.

Stand-alone activity or an integrated comprehensive service are both welcomed at Creative Biolabs.

Publication

This publication describes a novel experimental procedure using microscale thermophoresis (MST) to measure ligand binding affinities to membrane proteins. Unlike traditional methods that require protein purification, labeling, or surface immobilization, which can alter a protein's native function, this method works directly with cell membrane fragments. The study successfully used the dopamine D2 receptor (D2R) as a model, accurately determining its concentration and binding affinity in a crude sample. The results were consistent with previously reported values. The paper also provides a detailed protocol, making this method applicable to a variety of other membrane proteins, offering a significant advantage for researchers working with challenging targets.

Fig.1 Quantifying D2R abundance in cell membrane lysates via MST. (OA Literature)Fig.1 MST-based quantification of D2R in cell membrane lysates.1

Why Choose Creative Biolabs for Affinity Measurement?

Creative Biolabs is a global leader in affinity measurement services, offering unparalleled expertise and a commitment to scientific excellence.

Our team of seasoned biophysicists, with over 10 years of experience, possesses a deep understanding of diverse molecular systems and all major affinity measurement platforms. We utilize a cutting-edge array of instruments, including SPR, BLI, ITC, and MST systems, to handle projects of any scale and complexity with precision. Our services are comprehensive, offering end-to-end solutions from assay development to detailed report generation. We provide customized, bespoke experimental strategies to address your specific research questions, ensuring accurate and actionable data. Adhering to the highest scientific standards, we deliver accurate, reproducible, and robust data. Our optimized workflows and efficient project management ensure fast turnaround times, helping you accelerate your research and development milestones.

Don't leave your molecular interactions to chance. Partner with Creative Biolabs to gain the definitive insights you need.

FAQs

Q1: What types of samples can Creative Biolabs analyze for affinity measurement?

A1: We are equipped to analyze a wide range of samples, including purified proteins, peptides, small molecules, and complex biological matrices. Our diverse technology portfolio, including specialized MST techniques, allows us to select the best approach for your specific sample type and challenging targets.

Q2: Can Creative Biolabs measure affinity for membrane proteins or other challenging targets?

A2: Creative Biolabs specializes in challenging targets like GPCRs. Using techniques like MST, we measure binding affinities directly in non-purified cell membrane fragments, preserving the native environment. This is a significant advantage for complex biological systems.

Q3: What kind of data and reports will I receive from Creative Biolabs?

A3: Upon project completion, Creative Biolabs provides a comprehensive report detailing experimental methods, raw data, and analyzed binding curves. Our experts offer insightful interpretations and actionable recommendations to guide your next steps in drug discovery.

Customer Review

  • Exceptional Precision
    Using Creative Biolabs for affinity measurement has significantly improved the precision of our protein-ligand binding data, especially for challenging membrane proteins. Their MST platform provided invaluable insights into interactions within non-purified samples, saving time and resources. We now have confidence in our binding constants. - Dr. La Sh
  • Reliable Kinetics
    The kinetic data provided by Creative Biolabs' service was consistently reliable and instrumental in our lead optimization efforts. Their detailed reports and expert interpretation helped us confidently select candidates with optimal binding profiles, avoiding costly downstream failures. Their scientific rigor is truly commendable. - Prof. Mn Js

Related Services

To further support your research and development, Creative Biolabs offers a suite of complementary services that often go hand-in-hand with affinity measurement, enabling a seamless progression of your projects:

Immunogenicity Prediction

Immunogenicity, the ability of biologics to induce unwanted immune responses, is a critical safety issue. Creative Biolabs developed sensitive immunogenicity assessment technology (SIAT), a highly sensitive in silico and in vitro platform, to address this. It's used for biopharmaceutical quantification, anti-drug antibody (ADA) assays, and PK/PD efficacy measurements.

Learn More →

Cell Adhesion Assay Services

Cell adhesion is vital for processes like immune response and wound healing. Creative Biolabs provides a comprehensive cell adhesion assay service to help researchers study these interactions, gain insights into disease mechanisms, and advance the development of targeted therapies.

Learn More →

Contact Us

With advanced platforms and senior scientists, Creative Biolabs is fully competent for performing antibody affinity and kinetic measurement, which enables determining molecular interactions in a real-time manner. All data will be analyzed and documented in the final report for delivery. For more information, please don't hesitate to contact us.

Reference

  1. Rascol, Estelle, et al. "An original approach to measure ligand/receptor binding affinity in non-purified samples." Scientific Reports 12.1 (2022): 5400. Distributed under Open Access license CC BY 4.0, without modification. DOI: https://doi.org/10.1038/s41598-022-09217-6

For Research Use Only | Not For Clinical Use

Online Inquiry
Copyright © 2026 Creative Biolabs. All Rights Reserved.
ISO 9001 Certified - Creative Biolabs Quality Management System.
Close
Thanksgiving
Thanksgiving