Globo H-KLH Conjugated Cancer Vaccine Development Service

As the most important disease that seriously affects human health and life, cancer has always been a hotspot and focus of many scientists, and as a result, the findings around cancer are so numerous that the antigen Globo H is one of them. Creative Biolabs is also constantly eyeing the latest research findings and actively applying them to practice.

Background

The most important step in developing a vaccine is to identify target antigens, as well as in cancer vaccines, which are typically molecules that are exclusively expressed on the surface of tumor cells. Globo-H is one of the tumor-associated carbohydrate antigens (TACA) expressed in epithelial cancer cells of various cancers including breast cancer. In some cases, cancer patients were able to naturally produce TACA-directed antibodies, and those who were able to produce a natural immune response against TACA had significantly higher survival rates than those that could not. Globo-H is one of such TACAs. However, the immunogenicity of carbohydrate molecules is very poor. It is a common strategy to couple them with carrier proteins to improve their immunogenicity. And the widely used carrier protein is Keyhole limpet hemocyanin (KLH). KLH is a large, oxygen-carrying metalloprotein containing multiple subunits found in the hemolymph of the giant keyhole limpet. KLH is highly immunogenic but does not produce harmful immune responses to the human body, which is an important reason for its use as a vaccine carrier protein. Due to the large molecular weight of KLH, it is generally obtained by purifying biological products from the keyhole limpet.

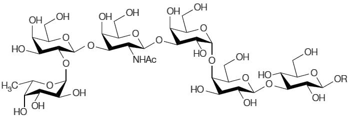
Fig.1 Globo H. (Verdoliva, Valentina, Michele Saviano & Stefania De Luca, 2019) (OA Literature) Fig. 1 Chemical structure of Globo H. 1

Design of Globo H-KLH Conjugated Cancer Vaccine

The use of the human immune system to conquer tumors is currently a popular cancer treatment strategy. Globo H is highly expressed on the surface of tumor cells and is easily targeted by the body's immune system, and it is more like a tumor-specific antigen, so it is a very attractive epitope for therapeutic cancer vaccines. Although Globo H has many advantages, the most important point is that it is poor in immunogenicity and T cell-independent as other carbohydrate antigens. However, T cell-mediated immunity is important for antibody affinity maturation, increased immune memory, and toxicity responses to tumor cells. Therefore, the current strategy is to couple Globo H to a carrier protein so that it can not only improve immunogenicity but also convert it from T cell-independent to T cell-dependent. Such a combination also demonstrated good results in stimulating a strong immune response in practice, and this vaccine has entered the phase III trial and is showing the enormous potential of the Globo H-based cancer vaccine. It is worth noting that although the coupling of Globo H to KLH increases the immunogenicity of the antigen, the immune response they elicited is mostly antigen-specific IgM antibodies, while the level of IgG antibodies indicating T cell responses is relatively low. Scientists speculate that this may be the result of that the more robust immunity induced by the carrier protein suppresses the immune response by the carbohydrate antigen. Based on the issue, many carbohydrate-based vaccines are attempting to use non-protein carriers such as polysaccharides, dendrimers, nanoparticles and lipids such as monophosphoryl lipid A (MPLA) as alternatives. And the results of Globo H-MPLA Conjugated Cancer Vaccine in mouse model show the potential of this vaccine strategy.

Up to now, with the deepening and expansion of research on cancer, more and more discoveries have been applied to practice and many breakthroughs have been made. The antigen Globo H is also an attractive finding. Creative Biolabs is a research and development team with more than 10 years of experience in vaccine development. We provide quality and reliable technology and services to vaccine researchers around the world. No matter what problems you have encountered in the vaccine research or the tasks you want to outsource, we can provide you with the most complete service!

Reference

  1. Verdoliva, Valentina, Michele Saviano, and Stefania De Luca. "Zeolites as acid/basic solid catalysts: recent synthetic developments." Catalysts 9.3 (2019): 248. Distributed under Open Access license CC BY 4.0, without modification.

All of our products can only be used for research purposes. These vaccine ingredients CANNOT be used directly on humans or animals.

Online Inquiry

All of our products can only be used for research purposes. These vaccine ingredients CANNOT be used directly on humans or animals.

Name:
Phone:
*E-mail Address:
*Products or Services Interested:
Project Description:

This site is protected by reCAPTCHA and the Google Privacy Policy and Terms of Service apply.