Globo H-MPLA Conjugated Cancer Vaccine Development Service

As the most important disease that seriously affects human health and life, cancer has always been a hotspot and focus of many scientists, and as a result, the findings around cancer are so numerous that the antigen Globo H is one of them. Creative Biolabs is also constantly eyeing the latest research findings and actively applying them to practice.

Background

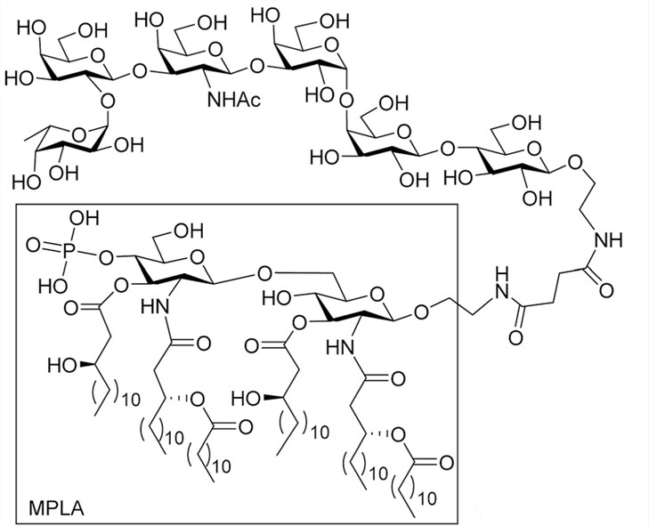
The carbohydrate antigen Globo H, which is an abnormal glycan expressed on the surface of tumor cells, has made great progress in recent years as the basis of the therapeutic cancer vaccine. In order to improve its immunogenicity, it is often conjugated with the carrier protein KLH, and such a vaccine has entered the clinical trial stage. However, the weakness of this vaccine strategy is that it triggers inconsistent T cell immune responses and is difficult to control quality as well as the mandatory usage of an external adjuvant. To this end, scientists have proposed strategies to replace them with other non-protein carriers. Monophosphoryl lipid A (MPLA) is a recently used adjuvant. Correspondingly, researchers have developed Globo H-MPLA conjugated cancer vaccine. Bacterial LPS has strong immunostimulatory activity, and lipid A is its core hydrophobic domain, which is also the main structure that is responsible for its immunostimulatory activity. Therefore, the monophosphoryl derivative from lipid A, monophosphoryl lipid A (MPLA), is also with very strong immune stimulating activity. Unlike lipid A, MPLA is non-toxic and has also been approved for use in clinical as human vaccine adjuvants. MPLA interacts with TLR4 to stimulate downstream signaling cassettes, leading to the production of cytokines and chemokines such as TNF-α, IL-1β, IFN-β, and IL-6, etc. Experimental evidence shows that tumor-associated antigen could induce strong immune responses without the need for an external adjuvant after conjugated to the MPLA.

Fig. 1 Structure diagram of conjugates of Globo H and MPLA. (Zhou, Zhifang, et al., 2015) (OA Literature) Fig. 1 Conjugate of Globo H with MPLA. 1,2

Design of Globo H-MPLA Conjugated Cancer Vaccine

Prevention and treatment of tumors by cancer vaccine is based on the principle to use the human immune system to identify, eliminate and kill tumor cells. Globo H is a relatively broad and promising carbohydrate antigen molecule that has recently emerged as an antigenic target for therapeutic vaccines. However, it has the problem of insufficient immunogenicity and must be combined with other proteins or adjuvants to better play its role. Commonly used molecules that conjugated to Globo H are KLH and the MPLA mentioned here. In one study, the researchers optimized lipid A from N. meningitides and obtained its monophosphoryl derivative. The glycoconjugate prepared by coupling Globo H with the obtained MPLA was immunologically evaluated in mice. The results show that Globo H-MPLA conjugate can induce a rapid and strong immune response, and its immune response level is higher than that produced by Globo H-KLH conjugate. After inoculation of Globo H-MPLA conjugate twice, the mice established a robust and solid immune response against Globo H. In addition, as Globo H-MPLA conjugate has a self-adjuvant effect and does not require the use of external adjuvants, it would simplify clinical use and stabilize the property and function of the vaccine. The structure of the synthetic vaccine is well-defined, convenient to characterize, and the quality control is also easy. Its good immunogenicity and its induced antiserum can strongly bind to MCF-7 tumor cells expressing Globo H and CDC reaction, etc., all prove that Globo H-MPLA conjugated vaccine is a promising cancer vaccine.

Globo H is a hot spot in tumor immunology research and is used for cancer treatment research. Globo H-based cancer vaccines have also made great progress. As a global R&D team with more than 10 years of experience in vaccine development, Creative Biolabs is constantly watching the most cutting-edge scientific discoveries and is the first to validate and expand their role in practice. With Globo H as the target of cancer vaccine antigens, we have made a lot of attempts and developed a variety of matching strategies to maximize the role of antigens. If you are also interested in the development of Globo H-based cancer vaccines and need help, we will do our best to assist you with our professionalism and service spirit!

References

  1. Zhou, Zhifang, et al. "A fully synthetic self-adjuvanting globo H-Based vaccine elicited strong T cell-mediated antitumor immunity." Chemical science 6.12 (2015): 7112-7121.
  2. Image retrieved from Figure 1 “The structure of MPLA–, KLH–, and HSA–globo H conjugates 1, 2, and 3”. Zhou, Zhifang, et al., 2015, distributed under Open Access license CC BY 4.0. The original image was modified by extracting and using only left part and the title was changed to "Conjugate of Globo H with MPLA".

All of our products can only be used for research purposes. These vaccine ingredients CANNOT be used directly on humans or animals.

Online Inquiry

All of our products can only be used for research purposes. These vaccine ingredients CANNOT be used directly on humans or animals.

Name:
Phone:
*E-mail Address:
*Products or Services Interested:
Project Description:

This site is protected by reCAPTCHA and the Google Privacy Policy and Terms of Service apply.