Ley and Globo H Vaccine Development Service

Creative Biolabs is a world leader in the field of cancer vaccine development. With our extensive experience and advanced platform, we are therefore confident in offering the best development services for Ley and Globo H based cancer vaccines. We guarantee the finest results for our customers all over the world.

Neutral Glycolipids Lewisy and Globo H

Cancer Vaccines – Creative Biolabs

Lewisy (Ley) and Globo H antigens are found at the cell surface of epithelial cancers primarily expressed as glycolipids attached to the lipid bilayer through their ceramide, but they are also O-linked via -OH groups of serine or threonine to mucins and N-linked via the NH2 group of asparagine in other proteins. Whether expressed as glycolipids or glycoproteins, the immune response against these antigens is predominantly against the carbohydrate moiety. The expression of Ley and Globo H on various types of cancer cells has been well documented. They are expressed in lesser amounts on a variety of normal tissues, again at the lumen border of ducts and in secretions as described for TF and sTn. Monoclonal antibodies against each have shown good localization to human cancers in vivo.

Development of Lewisy Based Cancer Vaccines

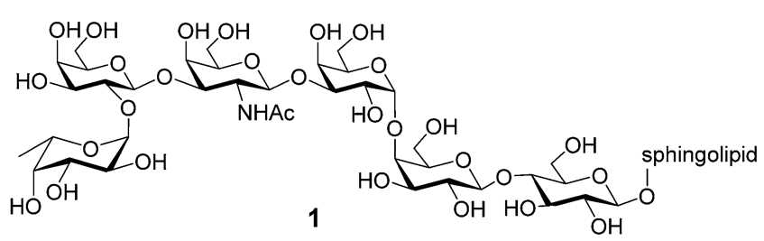
The Lewisy (Ley) antigen structure consists of a Type II oligosaccharide Galβ1,4GlcNAc with both α1,2- and α1,3-fucose linkages to form the structure Fucα(1,2)Galβ(1,4)Fucα(1,3)GlcNAc. It is also known as CD174. It is related in structure to the ABH family of blood group antigens found on human blood cells.

Ley is involved in cell migration required for the early steps in tumor angiogenesis. Because the expression of Ley in normal tissues is low and it is highly expressed in many cancers, it is a good potential therapeutic target. Cancers that are known to express Ley include ovarian, breast, prostate, colon, and lung cancers of epithelial cell origin. In ovarian cancers, increased expression of the antigen correlates with poor prognosis. In the colon, increased expression of the antigen correlated with increases in dysplasia and malignant potential.

Structure of tumor-associated Lewisy antigen

Fig.2 Structure of tumor-associated Lewisy antigen.

Creative Biolabs is developing a range of Lewisy based cancer vaccines including:

Development of Globo H Based Cancer Vaccines

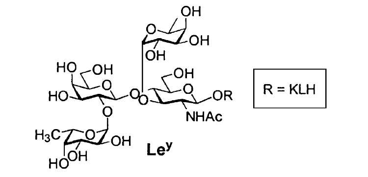
Globo H is a glycosphingolipid hexasaccharide with the structure Fucα(1–2)Galβ(1–3)GalNAcβ(1–3)Galα(1–4)Galβ(1–4)Glcβ(1), and SSEA-3 is its pentasaccharide precursor without the fucose. Both structures are considered globoseries glycosphingolipids. Globo H was first isolated from human MCF-7 breast cancer cells. Globo H is known to be expressed in breast, small cell lung carcinomas, primary and metastatic prostate cancer glandular epithelium. A phase I trial was performed using a synthetic KLH-conjugated Globo H vaccine in patients with relapsed prostate cancer and found the vaccine to be well tolerated as well as having evidence of a slight anti-tumor effect.

Structure of tumor-associated Globo H antigen

Fig.3 Structure of tumor-associated Globo H antigen.

Creative Biolabs is developing a range of Globo H based cancer vaccines including:

Creative Biolabs is a leader in the field of vaccine development and has focused on the cancer vaccines for years. We have experienced experts and advanced platforms that are able to provide excellent services. If you are interested in our services, please contact us for more details.

Reference

  1. Heimburg-Molinaro, J. (2011). “Cancer Vaccines and Carbohydrate Epitopes.” Vaccine 29(48), 8802-8826.


All of our products can only be used for research purposes. These vaccine ingredients CANNOT be used directly on humans or animals.

Online Inquiry

All of our products can only be used for research purposes. These vaccine ingredients CANNOT be used directly on humans or animals.

Name:
Phone:
*E-mail Address:
*Products or Services Interested:
Project Description:

This site is protected by reCAPTCHA and the Google Privacy Policy and Terms of Service apply.