NHP based Pharmacokinetic Services
Services
Before drug clinical tests, performing pharmacokinetic (PK) studies is an essential part of preclinical research to obtain key information on drug properties, drug metabolism, and drug-drug interactions. As a professional biological company, Creative Biolabs has incorporated a huge number of NHP-based PK research services into our business segment. Whether you aim to collect in vitro or in vivo PK data, our technology team is mature enough and can flexibly design a highly customized and competitive solution to meet your specific needs.
Types of PK Services
Considering the actual situation of each project is different, we have launched the following two categories of PK services for you to choose from. Tell us about the stage of your drug development, we will give you some plausible suggestions based on the problems you are facing.
At Creative Biolabs, our extensive in vitro PK services can support your drug development by producing precise and reproducible data relevant to drug absorption, distribution, metabolism, excretion (ADME), and drug-drug interaction (DDI). No matter what stage your project is, you can freely choose stand-alone in vitro research, overall PK research, or the "peace of mind" preclinical packaging service.
Creative Biolabs has accumulated rich practical experience in the establishment of non-human primate PK models. With multiple available monkey models, we have completed many PK project commissions from global clients on time or ahead of schedule. The in vivo PK service provided by Creative Biolabs is involved in comprehensive biologically relevant monkey species, surgical techniques, dose routes, and sampling means, ensuring to fulfill diversified customer requirements easily.
Why Partner with Creative Biolabs
We understand the huge market demand has spawned a lot of PK service providers in recent years, but finding a company that can consider the problem from the customer's point of view and provide the high-quality service that customers really need is still very challenging. In fact, Creative Biolabs has been working in this direction for many years and has won huge consumer uptake with multiple competitive advantages.
Aside from PK research, Creative Biolabs provides your preclinical program with other relevant and necessary services, such as pharmacology and pharmacodynamics, safety evaluation, gene therapy development, biomarker discovery and validation, bioproduct custom collection, as well as method development and validation. If you are interested in any type of service, feel free to contact us to get your research started today!
Published Data
The article focuses on a comparative study of the pharmacokinetics (PK) of four unrelated antibodies, analyzed in both IgG1 and IgG2 frameworks, using non-human primates (NHPs) and rats. This study was designed to understand the impact of antibody isotype, complementarity determining regions (CDRs), and model species on PK, specifically in the absence of antigen binding in the hosts.
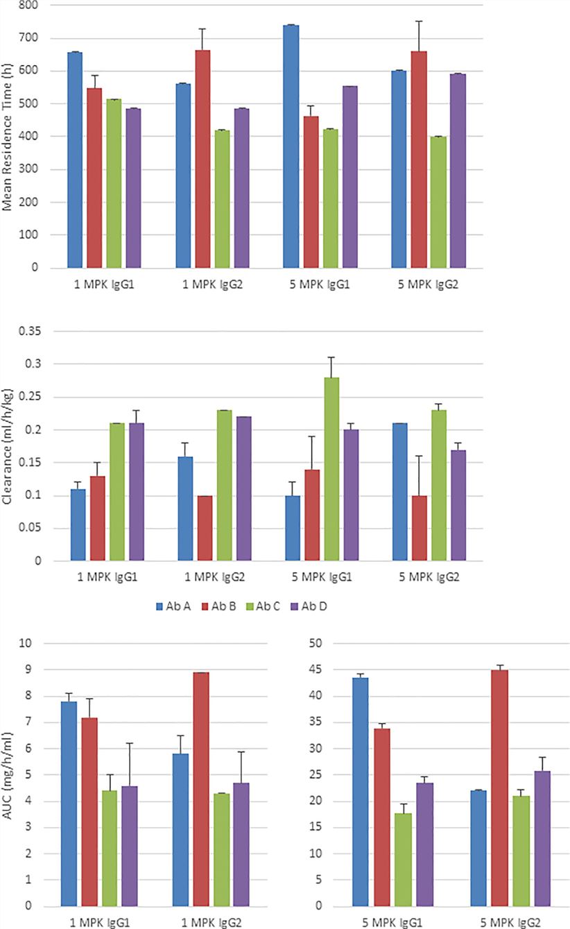
Key findings include the observation that antibody isotype did not significantly impact PK. However, the CDRs were found to alter the PK profile, with an inverse correlation identified between neonatal Fc receptor (FcRn) affinity and pharmacokinetic performance. Interestingly, despite the antibodies possessing basic isoelectric points, they exhibited long in vivo half-lives (averaging 369 hours) and low clearance rates (averaging 0.18 ml/h/kg) in NHPs. These PK characteristics were consistent across both the rat and NHP models, suggesting that the mechanisms of antibody clearance are likely conserved between these species.
The study concludes that the PK of antibodies is influenced by the content of the CDRs even in the absence of antigen binding. Moreover, the CDR-dependent properties are predictable across rodents and primates, opening possibilities for engineering CDRs to enhance PK. This could minimize the need for extensive NHP studies, reserving their use for final lead candidates, and highlights the relevance of using NHP models in the early stages of therapeutic antibody development.
This research underscores the significance of NHPs in biomedical research, especially in pharmacokinetics, due to their close physiological and immunological similarities to humans. The findings offer valuable insights for the development of human therapeutics, particularly in the context of antibody-based drugs.
Fig.1 Averaged pharmacokinetic profiles of human IgG1 and IgG2 antibodies in NHPs.1 Serum concentrations of human IgG1 (A1-D1) and IgG2 (A2-D2) antibodies were determined over time after subcutaneous administration to NHPs first at 1 mg/kg then at 5 mg/kg 56 days later. Each test article was assessed in two animals, which are plotted as the average with error bars representing the standard error of the mean.
Fig.2 Pharmacokinetics of human IgG1 and IgG2 antibodies in NHPs.1
FAQ
-
What advantages do NHP models offer in pharmacokinetics studies compared to other animal models?
Non-Human Primates (NHPs) offer closer physiological and immunological similarities to humans than other animal models, such as rodents. This makes NHPs more reliable for predicting human responses, especially in the pharmacokinetics (PK) assessment of biopharmaceuticals, including antibodies and other therapeutics. -
How does Creative Biolabs ensure the ethical use of NHPs in pharmacokinetic studies?
Creative Biolabs is committed to the highest standards of ethical practices in all research involving NHPs. The company adheres to strict guidelines and regulations for animal welfare, ensuring that the use of NHPs is justified, humane, and conducted with the utmost care and responsibility.
Customer Review
-
Dr. Rachel Nguyen, Director of Pharmacology.
As a pharmaceutical company focused on antibody therapeutics, we sought Creative Biolabs' expertise in NHP Based Pharmacokinetics. Their meticulous approach to studying antibody behavior in NHP models provided us with crucial data, particularly on the impact of CDRs on pharmacokinetics. This insight has been pivotal in guiding our antibody engineering strategies. The similarity in PK profiles between NHPs and human models, as demonstrated in their studies, gave us confidence in the translational potential of our therapeutic candidates. Creative Biolabs' service was not only technically comprehensive but also strategically invaluable for our development pipeline.
Related Services and Products
- NHP Based Method Development and Validation Service
- NHP Based Biomarker Discovery and Validation Service
- NHP Based Gene Therapeutics Development Service
- NHP Based Safety Assessment Service
- NHP Based Pharmacology and Pharmacodynamics Service
- NHP Biospecimen Custom Collection Service
Reference
- Kenneth W. WalkerI., et al. " Pharmacokinetic comparison of a diverse panel of non-targeting human antibodies as matched IgG1 and IgG2 isotypes in rodents and non-human primates." PLOS ONE (2019)14(5): e0217061. Distributed under Open Access license CC BY 4.0, without modification.
Online Inquiry
This site is protected by reCAPTCHA and the Google Privacy Policy and Terms of Service apply.
Enter your email here to subscribe.
SubmitFollow us on

Cynomolgus Monkey PBMCs