1. Home
  2. UTC Development
  3. Antibody-Oligonucleotide Conjugate (AOC) Development
  4. AOC Conjugation Strategies
  5. Noncovalent Approach for AOC Conjugation

Noncovalent Approach for AOC Conjugation

The conjugation of monoclonal antibodies (mAbs) known for their exceptional targeting ability and oligonucleotides (ONs) known for their abundant structural, functional, and signaling roles have recently come into the active and consistent focus of research. Armed with rich experience in antibody conjugation, Creative Biolabs now provides customized antibody-ON conjugates (AOCs) development services by using noncovalent approaches. Moreover, we also offer a comprehensive set of AOC in vitro and in vivo analysis services to assist our clients to verify the biochemistry of generated AOC, providing a guideline for project progression.

Noncovalent AOCs are modular constructs that consist of mAb and ON molecules noncovalently connected through a special linker, which can interface between them. The main advantage of noncovalent conjugation is its general applicability and universality, since it does not require the conjugation and purification steps to be conducted and can thus be performed with a low amount of readily available mAb. However, it should be noted that even though the noncovalent AOCs are useful for analytical applications and screening, they are not usually appropriate for therapeutic applications due to the absence of a reliable and stable connection. The commonly used noncovalent conjugation approaches include protein A and protein G, and streptavidin-biotin system.

  • Protein A and Protein G

Protein A and protein G are bacterial cell wall proteins that have primary binding sites for Fc region of the immunoglobulin G (IgG) antibodies. A modification method utilizing the binding characteristic was proposed by introducing cysteine-tagged protein A/G (Figure 1A). Due to the presence of this free cysteine residue, it could be readily chemically linked with an ON of choice by using commercially available heterobifunctional cross-linkers.

Firstly, the amine-modified ON was reacted with an activated ester-maleimide cross-linker, thus yielding maleimide-tagged ON. The latter was reacted with cysteine-tagged protein G, yielding the desired DNA-modified protein G. After the incubation of the protein G-ON with the mAb, the AOC could be achieved and it could be further used to transform the DNA-modified gold chips into antibody arrays. Alternatively, as shown in Figure 1B, a SNAP-tag fusion analog of protein A was expressed and could readily be linked to an ON labeled with a benzyl guanine (BG) tag, a substrate of the SNAP-Tag. This BG-modified DNA was synthesized by chemically conjugating thiol-modified DNA to maleimide-BG. Then, the protein G labeled with ON can specifically bind to IgG antibodies to form the AOC.

The illustration of two noncovalent AOC preparation methods. Fig.1 The illustration of two noncovalent AOC preparation methods. (Dovgan, 2019)

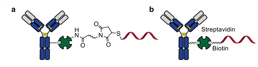
  • Streptavidin-Biotin System

By chemically linking a thiol-modified DNA onto maleimide-activated streptavidin, a streptavidin-DNA substrate can be generated, which can be further linked noncovalently with various biotinylated proteins. Scientists made full use of the presence of four biotin-binding sites in the streptavidin molecule to link together biotinylated antibodies with biotinylated DNA strands. This approach was proved to be very robust in later experiments and can be suitable for many applications.

Conjugation approach based on streptavidin-biotin system. Fig.2 Conjugation approach based on streptavidin-biotin system. (Dovgan, 2019)

If you are interested in developing AOCs by noncovalent approaches, please feel free to contact us for more information. We are more than happy to share our experience and help you with this tragically important conjugation step in AOC development. If you prefer covalent approaches for AOC preparation, please refer to the corresponding page for more information.

Reference

  1. Dovgan, I.; et al. Antibody-oligonucleotide conjugates as therapeutic, imaging, and detection agents. Bioconjugate chemistry. 2019, 30(10), 2483-2501.

For Research Use Only. NOT FOR CLINICAL USE.

UTC Development
ADC
Related Sections
Antibody-Oligonucleotide Conjugate (AOC) Development Services:
Universal Therapeutic Conjugate (UTC) Development:

Online Inquiry

Name:
Phone:
*E-mail Address:
*Products or Services Interested:
Company/Institution
Project Description:

Welcome! For price inquiries, please feel free to contact us through the form on the left side. We will get back to you as soon as possible.