ADC Linker Products
Product Overview
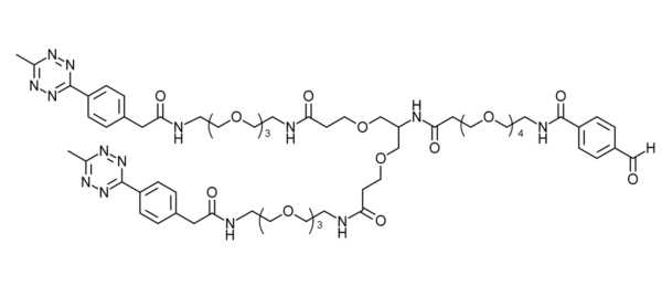
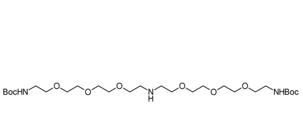
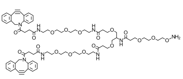
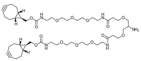
Creative Biolabs offers a variety of chemically versatile linker molecules to facilitate antibody-drug conjugate (ADC) development projects. All chemical linkers are of >95% purity and they are the basic building blocks for a successful ADC. Linkers facilitate the conjugation of ADC toxins to antibodies and in the meantime, they also dictate the release mechanism of an ADC. Proper linker selection will not only ease the process of obtaining the conjugate but also help enhance the chemical and serum stability of the ADC. Creative Biolabs carries a series of cleavable linkers (pH-sensitive linkers, disulfide linker, peptide linkers, β-glucuronide linkers), non-cleavable linkers, and intermediate linker modules. In the meantime, we also offer the services in the DrugLnk synthesis platform to prepare customized linkers with unique structures.
ADC Linker Services
Creative Biolabs offers a comprehensive "DrugLnk" linker module designed to cater to the diverse needs of antibody-drug conjugate (ADC) development. This module focuses on the design and preparation of various types of linkers, tailored to their specific drug release mechanisms. Clients can choose from a range of linker types:
Leveraging an advanced synthetic chemistry platform along with an extensive inventory of toxins, linkers, and drug-linker sets, "DrugLnk" at Creative Biolabs enables our skilled chemists to provide specialized services.
(1) Design linkers with optimal size
(2) Select linkers with suitable release mechanism
(3) Engineer linkers with compatible conjugation chemistry
(4) Synthesize customized linkers
(5) Modify payload drug
(6) Design synthesis routes
(7) Synthesize customized drug-linker complexes
Please feel free to contact us for more information about our ADC linker services.
Scientific Resources
Quick Links
Product List
Loading...
For Research Use Only. NOT FOR CLINICAL USE.
Online Inquiry
Welcome! For price inquiries, please feel free to contact us through the form on the left side. We will get back to you as soon as possible.



















