1. Home
  2. ADC Development
  3. DrugLnk™ Custom Linker-Payload Synthesis
  4. Linker Module Synthesis
  5. pH-Sensitive Linker Synthesis

pH-Sensitive Linker Synthesis Service

As a well-recognized leader in antibody engineering and bio-conjugation, Creative Biolabs has established an advanced "DrugLnk" organic synthesis platform to promote the design and preparation of various drug-linker complexes containing pH-sensitivity linkers for antibody drug conjugates (ADCs) development.

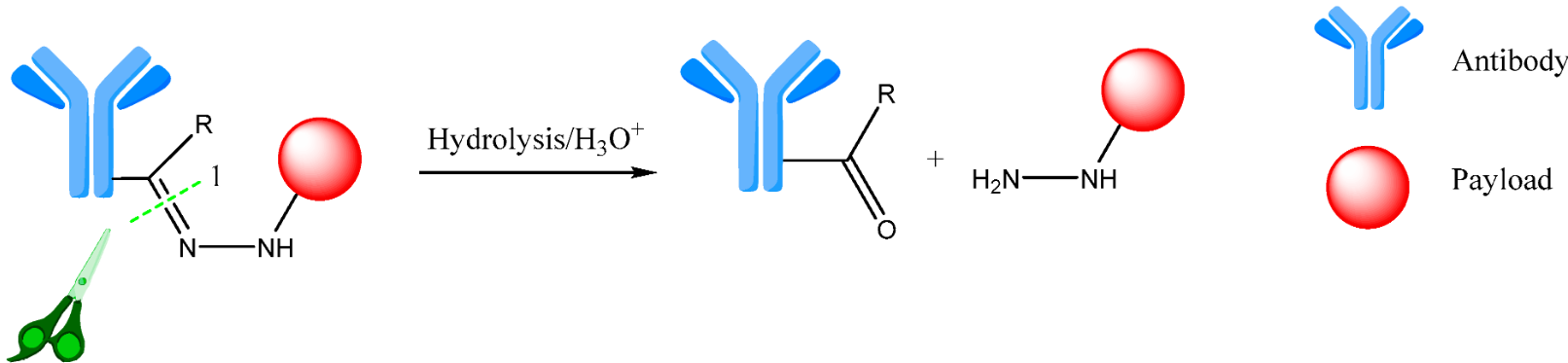
An ADC is a complex chemical entity containing a bio-macromolecule (the antibody) and one/several organic toxins (the payload) bridged by small molecular linkers, which dicate the release mechanism of the toxin once internalized. As one member of the cleavable linkers, pH-sensitive linkers (also refered to as acid-labile linekrs), such as hydrazones, are based on the a nonspecific pH sensing mechanism to achieve payload release.

pH-sensitive linkers (acid-labile linkers), are a class of chemically cleavable linkers that were first used in early ADC developments. Hydrazonesand cis-Aconityl is among the most widely used pH-sensitive linkers. A cis-aconityl linkage is offen used to conjugate payloads such as doxorubicin (DOX) or daunomycin to the carbohydrate moiety of an antibody. More recently, pH-sensitive hydrazone linkers that covalently conjugate the payloads to antibody amino acid residues (e.g. Lys or Cys) have been developed and applied in ADC preparation.

pH-sensitive linkers exert a straight-forward mechanism for payload release. By design, they retain intact and stable during systemic circulation in the blood's neutral pH environment (pH 7.3-7.5). Once internalized, upon sensing of the mildly acidic pH of the endosomal (pH 5.0-6.5) or lysosomal (pH 4.5-5.0) compartments of the cell, the pH-sensitive linkers undergo rapid hydrolysis and thus release the payload drug. It is worth pointing out that even though early studies have shown relatively low serum stability associated with ADCs bearing pH-sensitive linkers comparing to those constructed with non-cleavable linkers or peptide linkers, they have been proven active against targets with poor internalization (especially in the case of solid tumor considering the acidic "micro" environment within the tumor entity) or exert effect killing of antigen-negative tumor cells present in the vicinity of the antigen-positive cells (bystander effect), a feature making pH-sensitive linkers desriable in ADC developments. Many ADCs, including gemtuzumab ozogamicin, inotuzumab ozogamicin…, have been successfully prepared using pH-sensitive linkers.

Fig.1 Hydrazone linker cleavageFig.1 ADC prepared using pH-sensitive linkers.1,2

To fulfill customers' specific demands, Creative Biolabs has developed the "DrugLnk" platform and we are dedicated in providing customized design services using pH-sensitivity linkers for ADC developments. Depending on the antibody, payload drug, and tumor target, we will design or select the most suited linker to achieve targeted drug delivery. In the meantime, we also provide other services for the benefit of ADC development. Please feel free to contact us for more information and a detailed quote.

Reference:

  1. Chis, Adriana Aurelia, et al. "Antibody–Drug Conjugates—Evolution and Perspectives." International Journal of Molecular Sciences 25.13 (2024): 6969.
  2. Distributed under Open Access License CC BY 4.0, without modification.

For Research Use Only. NOT FOR CLINICAL USE.

ADC Development
ADC
Related Sections
DrugLnk™ Custom Linker-Payload Synthesis Services:
One-Stop ADC Development Services:

Online Inquiry

Name:
Phone:
*E-mail Address:
*Products or Services Interested:
Company/Institution
Project Description:

Welcome! For price inquiries, please feel free to contact us through the form on the left side. We will get back to you as soon as possible.