Megakaryocytic Progenitor Assays

Colony-forming units of megakaryocytes (CFU-MK) is an effective clonogenic assay that has been used in a variety of studies. Creative Biolabs supports megakaryocytic progenitor assays by CFU-MK to assist clients in studying megakaryocytic toxicity and platelet-related diseases.

Importance of Megakaryocytic Progenitor Assays

The biological process of megakaryocyte and platelet production is termed megakaryocytopoiesis, which results from the proliferation and differentiation (endometriosis and cytoplasmic maturation) of specific megakaryocyte progenitor cells which are identified in vitro as CFU-MK. The stem cell-megakaryocyte-platelet cell system is responsible for producing blood platelets, which are necessary for the initiation of hemostasis and the maintenance of blood vasculature integrity.

Validated in vitro hematotoxicity assays have the potential to substantially refine the predictive data derived from animal studies, and also to reduce the number of animals needed for hematotoxicity testing.

Description of CFU-MK Assays

Mononuclear cells are plated in a semisolid medium, collagen-based, containing specific CFU-MK growth factors. Cultures are incubated for 12 days at 37 °C, 5% CO2 and 100% water saturation. CFU-MKs proliferate and endoduplicate. At the end of the culture, megakaryocytes, large cells deriving from endoduplication of CFU-MK, are stained by immunochemistry before scoring.

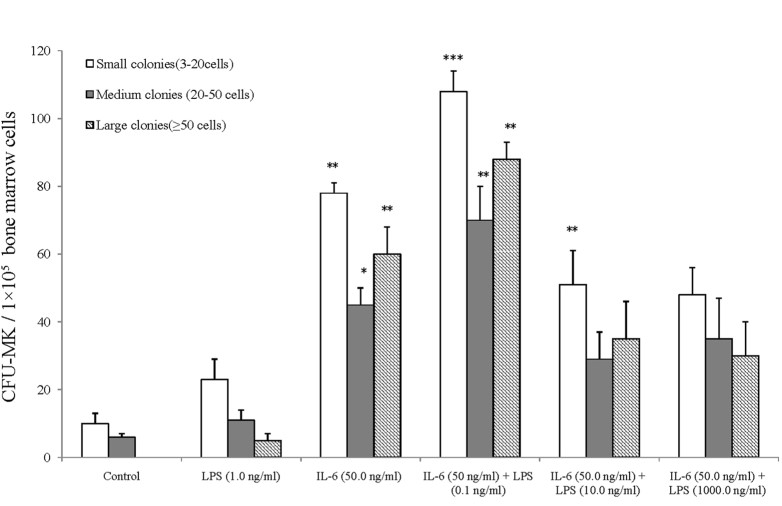
The Count of CFU-MKs in Various Mouse Groups Post-incubation with LPS by Itself or along with IL-6 and LPS.Fig 1 Number of CFU-MKs in different mouse groups after incubation with LPS alone or IL-6 with LPS.1

Standard Procedure of CFU-GM Assays

Standard Procedure of CFU-GM Assays (Creative Biolabs)

Applications of Megakaryocytic Progenitor Assays

  • Determine whether single drugs or combination therapy will produce compound-induced thrombocytopenia (megakaryocytic toxicity).
  • Study the formation of megakaryocytes.
  • Recognize imitations of thrombopoietin (TPO).
  • Study the role in delaying thrombocytopenia and improving hematopoiesis after stem cell transplantation.

Creative Biolabs offers expert megakaryocytic progenitor assays and processes to facilitate your preclinical drug discovery studies. What’s more, as equipped with expertise in 3D biology, Creative Biolabs commits to delivering top-notch technologies and a comprehensive range of 3D models to fulfill your diverse research requirements. The models we offer encompass, but are not restricted to:

Please feel free to reach out to us to discuss your specific requirements.

Reference

  1. Wu, Di et al. "Micro-concentration Lipopolysaccharide as a Novel Stimulator of Megakaryocytopoiesis that Synergizes with IL-6 for Platelet Production." Scientific reports. 5 (2015): 13748. Distributed under Open Access license CC BY 4.0, without modification.
Research Model

Related Sections:

Inquiry Basket
ISO 9001 Certified - Creative Biolabs Quality Management System.
Copyright © Creative Biolabs. All Rights Reserved.
Top