1. Home
  2. ADC Development
  3. DrugLnk™ Custom Linker-Payload Synthesis
  4. Drug Module Synthesis
  5. DNA Toxin Synthesis
  6. Duocarmycin Synthesis

Duocarmycin Synthesis Service

Creative Biolabs offers customarily prepared high quality antibody-drug conjugates (ADCs) using duocarmycin and duocarmycin analogs as payloads for targeted anti-cancer therapies and a variety of other applications.

Duocarmycin mode of action (MOA)

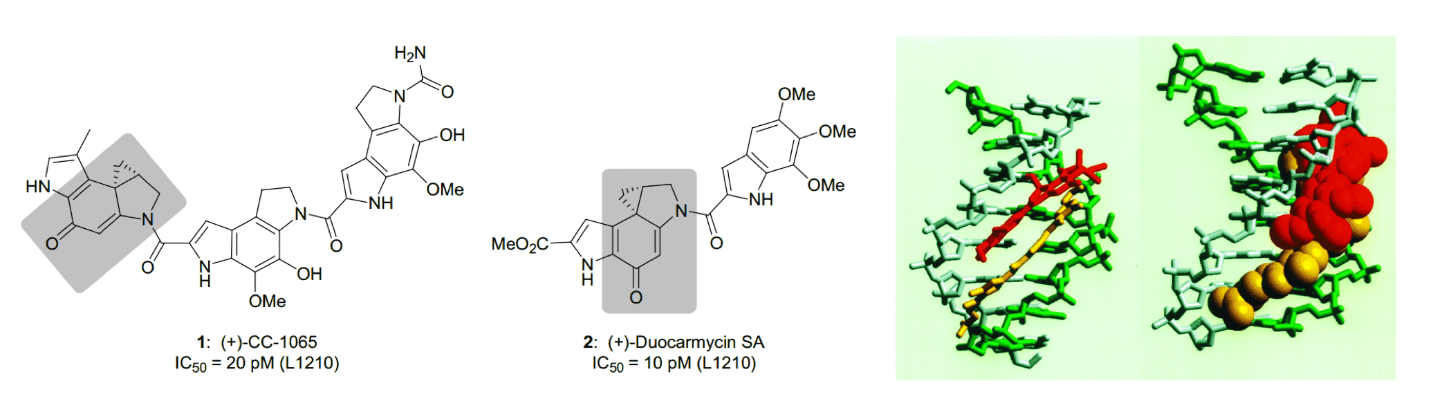
Duocarmycins are a series of natural products originally isolated from Streptomyces bacteria in 1988. They exhibit an impressively high cytotoxicity and are subsequently developed into anti-tumor agents. Duocarmycin analogues, among which CC-1065 and duocarmycin SA are the most widely used, represent a series of extremely powerful antineoplastic compounds that display high cytotoxicity against the growing cancer cells in culture. Duocarmycin analogues are DNA minor groove binding agents that also exert adenine-N3 alkylation activity and an AT-sequence selectivity. In terms of mode of action, duocarmycin analogues bind the minor groove of DNA and then induce irreversible DNA alkylation that hinders DNA architecture and structural integrity. The alkylation of DNA eventually leads to DNA cleavage and subsequently, tumor cell death via apoptosis. Duocarmycins are capable of applying this MOA at any phase in the cellular cycle and they are believed to have better anti-tumor activities comparing to tubulin binders, which only attack tumor cells during the mitotic state. What’s more, duocarmycin analogues have also been demonstrated to be effective on solid tumors.

DuocarmycinsFig.1 Two duocarmycin analogs: CC-1065 and duocarmycin SA.1,4

Synthetic Analogs of Duocarmycin

Adozelesin, bizelesin and carzelesin are artificially synthesized analogs of duocarmycins and are members of the cyclopropylpyrroloindole family. These drugs have high research and clinical values and all of them have advanced into clinical trials for cancer treatments. Adozelesin is an alkylating small groove DNA binder which quickly restrains DNA replication in treated cells via a trans-acting mechanism. Adozelesin primarily arrests cells in S phase. Bizelesin targets the small groove of DNA and causes DNA cross-linking, thereby restraining DNA replication and RNA synthesis. It also strengthens p21 and p53 induction and induces G2/M cell-cycle arrest, leading to slow cell death but without apoptosis. Carzelesin is a cyclopropylpyrroloindole prodrug containing a nonreactive chloromethyl forebody that is functional upon activation.

Fig.2 Duocarmycin derivativesFig.2 Analogs of Duocarmycin.2,4

Duocarmycins-based ADCs

Duocarmycin analogs are effective in the picomolar range. They are excellent candidates as payloads that yield ADCs with maximized cell-killing potency for regular and more importantly, multi-drug resistant cancer cells. A linker-drug platform containing a cleavable linker and a duocarmycin analog, DUBA (final active drug form), has been reported and developed into several new-generation ADCs for in vitro or in vivo efficacy evaluations.SYD985, a HER2-targeting ADC based on trastuzumab, is a leading ADC derived from this platform. SYD985 results in decreased tumor growth in a BT-474 mouse xenograft in vivo and is stable in human and cynomolgus monkey plasma.

Antibody–Drug Conjugates based on DuocarmycinsFig.3 Structures of SYD985.3,4

With our well-established "DrugLnk" organic synthesis platform, the experienced scientists here at Creative Biolabs is dedicated to help you develop duocarmycin-linker complexes using readily available or customized linkers for antibody conjugation in a timely and cost-effective manner. Our customarily tailored services and high quality products will contribute greatly to the success of your projects.

Creative Biolabs also provides other various services regarding ADC development. Please feel free to contact us for more information and a detailed quote.

References:

  1. Tietze, Lutz F., et al. "Determination of the biological activity and structure activity relationships of drugs based on the highly cytotoxic duocarmycins and CC-1065." Toxins 1.2 (2009): 134-150.
  2. Morcos, Ann, et al. "A Comprehensive Review of the Antitumor Properties and Mechanistic Insights of Duocarmycin Analogs." Cancers 16.19 (2024): 3293.
  3. Felber, Jan G., and Oliver Thorn-Seshold. "40 years of duocarmycins: a graphical structure/function review of their chemical evolution, from SAR to prodrugs and ADCs." JACS Au 2.12 (2022): 2636-2644.
  4. Distributed under Open Access License CC BY 4.0, without modification.

For Research Use Only. NOT FOR CLINICAL USE.

ADC Development
ADC
Related Sections
Drug Module Synthesis Services:
DrugLnk™ Custom Linker-Payload Synthesis Services:
One-Stop ADC Development Services:

Online Inquiry

Name:
Phone:
*E-mail Address:
*Products or Services Interested:
Company/Institution
Project Description:

Welcome! For price inquiries, please feel free to contact us through the form on the left side. We will get back to you as soon as possible.