3D Ex Vivo Human Histamine Model Introduction

Creative Biolabs is the world's leading provider of biological samples and value-added services, we are capable of collecting biological samples in ethical and legal means to meet your needs for rare tissue samples.

Introduction of Histamine

Histamine is a biogenic amine that acts as a potent mediator of inflammation, immune response, and neurotransmission in the human body. It is produced by mast cells and basophils, which play a key role in the body's immune response. Histamine's primary function is to mediate allergic and inflammatory responses in the body, but it also plays a role in the regulation of gastric acid secretion, neurotransmission, and endothelial function. Dysregulation of histamine signaling has been implicated in several diseases, including allergic rhinitis, asthma, gastric ulcers, and central nervous system disorders.

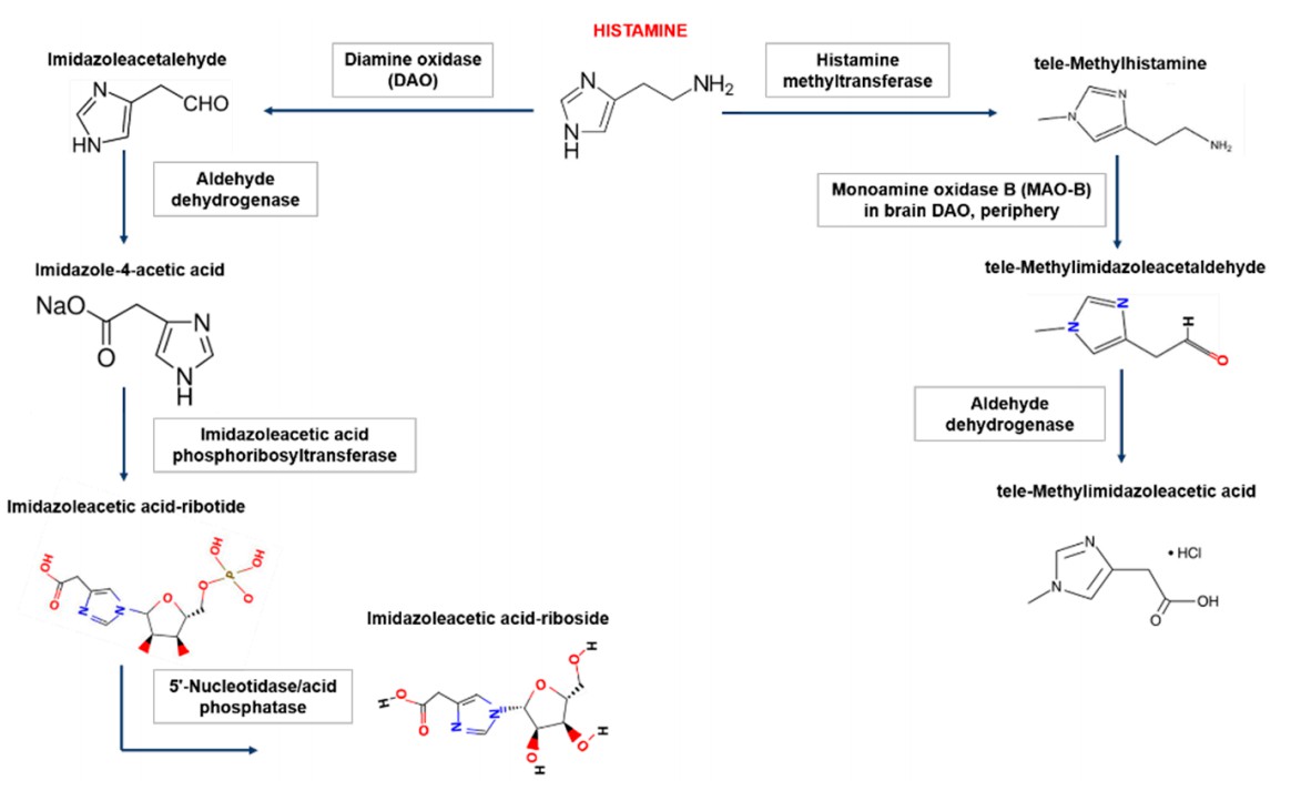
Histamine in the human body is metabolized by diamine oxidase (DAO) through extracellular oxidative deamination and by histamine N-methyltransferase via intracellular methylation.Fig 1. Biogenic amine histamine metabolism.1,3

Mechanism and Related Pathway of Histamine

Histamine exerts its effects through binding to distinct G protein-coupled receptors, including the H1, H2, H3, and H4 receptors. The H1 receptor is chiefly associated with allergic and inflammatory responses, whereas the H2 receptor plays a critical role in the regulation of gastric acid secretion. Additionally, the H3 receptor participates in the modulation of neurotransmitter release, and the H4 receptor is primarily found on immune cells, where it contributes to the regulation of immune responses.

Fig 2. Neuronal H3 receptors are located on both histaminergic and non-histaminergic neurons.2,3

Traditional Research Models Human Histamine Ex Vivo Models
Despite its importance in human physiology and disease, the pathogenic mechanisms underlying histamine-related diseases remain poorly understood. Traditional research models for studying histamine include in vitro cell culture and in vivo animal models. While these models have provided valuable insights into histamine biology, they have inevitable limitations. Cell culture models lack complex tissue architecture and dynamic interactions between cells that occur in vivo. Animal models, while more physiologically relevant, are costly, time-consuming, and often fail during translation to clinic. In recent years, ex vivo models have emerged as alternatives for studying histamine-related diseases with great potential. Ex vivo models involve the use of fresh or preserved human tissue samples obtained from surgical or post-mortem specimens. These models offer several advantages over traditional research models. For example, ex vivo models preserve the tissue architecture and cellular interactions that are critical for understanding histamine biology in the human body. They also allow for the study of human-specific disease mechanisms and the evaluation of therapeutic interventions in a more clinically relevant context.

What We Provide?

To bring true human biology research into early preclinical discovery, Creative Biolabs has established a comprehensive and accessible network for the collection and supply of human tissue samples. By accessing forward-looking and standard post-mortem tissue collection programs, we have the ability to offer standard collection samples for immediate shipment and to collect samples for research according to customized protocols. We ensure that each sample undergoes rigorous and impartial review and signing of donation agreements to fully avoid ethical disputes. At the same time, we ensure that all tissue models undergo comprehensive pathological and clinical data review during sample collection. These specimens will serve as unparalleled tools to maximize the success rate of experiments involving human proteomics, genomics, metabolomics, and drug research. We have deployed a wide variety of ex vivo secondary airway-related tissue models.

Creative Biolabs' focus is on providing our clients with the highest quality and biologically faithful human tissue specimens, contact us now for expert assistance in your research.

References

  1. Shulpekova, Yulia O et al. "Food Intolerance: The Role of Histamine." Nutrients. 13,9 (2021): 3207.
  2. Worm, Jacob et al. "Histamine and migraine revisited: mechanisms and possible drug targets." The journal of headache and pain. 20,1 (2019): 30.
  3. Distributed under Open Access license CC BY 4.0, without modification.
Research Model

Related Sections:

Inquiry Basket
ISO 9001 Certified - Creative Biolabs Quality Management System.
Copyright © Creative Biolabs. All Rights Reserved.
Top