Electrochemical Biosensor for Disease Detection

Rapid diagnosis of diseases at their initial stage is extremely important for effective clinical outcomes and promotes general public health. In recent years, numerous electrochemical biosensors have been developed and proposed for detection of various diseases taking advantage of their features, including selectivity, sensitivity, low cost and rapid response. Under the unremitting efforts of the staff in Creative Biolabs, the development technology of electrochemical biosensors has undergone a steady improvement with the lowered detection limits and the enlarged linear response range. Creative Biolabs now provides customized electrochemical biosensor development for various disease detection.

Affinity Biosensors based on Antibodies or Nucleic Acids

Immunosensors are a typical kind which are based on immunoassays. An immunosensor incorporates an antibody as the electrochemical recognition element and a transducer based on a light-sensitive material such as fiber optical sensors, surface plasmon resonance sensors and so forth. Based on the highly selective recognition of antibodies for antigens, immunosensors have been manufactured and are widely applied in monitoring diseases.

The DNA hybridization biosensor is another typical category of affinity biosensors which incorporates aptamer as the recognition components. DNA hybridization biosensors are widely used for diagnosis of genetic or infectious diseases. When preparing a DNA biosensor, the aptamer production is of vital importance (Aptamers in the Diagnostic Pipeline). Two ways are available to monitor the hybridization, namely label electrochemical measurements and label-free ones.

Scheme of analytical principle for electrochemical biosensors based on carbon and non-carbon nanomaterials.Fig.1 Analytical principal scheme for electrochemical biosensors.1, 2

Application of Electrochemical Biosensors for Disease Detection

A biomarker is a characteristic indicator of some biological, pathogenic process, or pharmacological response to therapeutic intervention. The use of an appropriate biomarker that makes the detection procedure highly sensitive and selective is of vital significance. An electrochemical immunosensor is a typical device used for detection of these diseases, in which a sandwich immunoreaction is usually performed on an electrode surface, including a tracer antibody, a capture antibody and the antigen. It depends on whether there an inflammatory response or antigen-antibody reaction, which serves as a characteristic marker exists.

Services at Creative Biolabs

At Creative Biolabs, many efforts have been devoted to the improvement of electrodes, signal amplifiers and indicator labels. Modifying the electrode with various coatings and adopting advanced nanomaterials as well as proper indicators will influence the sensor performance. In the design process, the immobilization of biomolecules on the transducer surface is an important procedure. Creative Biolabs provides different immobilization techniques which may contribute to differing biosensor sensitivity and stability. Various materials including semiconductors, ceramics, metals, organic materials and metamaterials are optional in the manufacture of various types of sensors.

To our knowledge, antigens/antibodies, DNA/RNA series, enzymes are the most commonly used biomolecules for accurate detection of a variety of diseases. Creative Biolabs has made outstanding achievements in the following areas.

Electrochemical biosensors have been proved to offer advantages such as simplicity and cost-effectivity, and they exhibit good sensitivity and selectivity under optimized conditions. If you are interested in using electrochemical biosensor for disease detection research, please feel free to contact us for more information.

Published Data

1. Development of Chicken IgY Anti-Spike Antibody-Based Electrochemical Immunosensor for SARS-CoV-2 Detection

Results from the electrochemical impedance spectroscopy of anti-S protein biosensor.Fig.2 Electrochemical impedance spectroscopy for anti-S protein biosensor.3,2

This paper presented a new immunosensor based on electrochemical impedimetric spectroscopy with chicken IgY antibodies for the SARS-CoV-2 recombinant spike protein detection. The sensor, featuring three electrodes, was functionalized with an anti-S IgY antibody. ELISA and immunoblot assays validated a positive reaction from chickens immunized with the SARS-CoV-2 spike antigen. The anti-S protein IgY antibody was immobilized onto the electrodes by first chemisorbing cysteamine thiol groups onto gold nanoparticles, then using glutaraldehyde to connect the antibody’s amine groups with the aldehyde groups. The developed immunosensor effectively detected SARS-CoV-2 in nasopharyngeal clinical samples, with a sensitivity of 5.65 pg/mL, making it suitable for point-of-care applications. It had a wide detection range from 11.56 to 740 ng/mL, ideal for clinical settings without requiring analyte amplification.

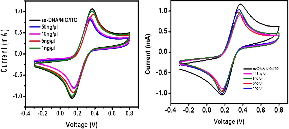
2. Development of Nanofilm-Enhanced Electrochemical DNA Sensor for Yellow Rust Detection

Cyclic Voltammogram with different concentrations of target DNA using 1 mM of MB.Fig.3 Cyclic voltammetry studies for the detection of Pst.4,2

This work developed a genosensor based on a nanoscale NiO thin film for the targeted detection of DNA sequences linked to Puccinia striiformis f. sp. tritici (Pst), the agent responsible for wheat yellow rust. The genosensor was built on a glass substrate coated with tin-doped indium oxide (ITO) and used methylene blue (MB) as an electrochemical indicator, with NiO serving as the matrix. Single-stranded DNA oligonucleotides associated with Pst pathogenesis were used as probes. The electrochemical performance of the bioelectrode was analyzed through cyclic voltammetry and differential pulse voltammetry. The sensor showed a linear detection range between 40 pg/μL and 115 ng/μL, offering excellent precision. This DNA-based biosensor enhanced the sensitivity and accuracy of Pst detection, contributing to better disease management strategies. The genosensor was characterized by high sensitivity, extended shelf life, and reliable recovery, minimizing errors in results.

References

  1. Cho, Il-Hoon, Dong Hyung Kim, and Sangsoo Park. "Electrochemical biosensors: Perspective on functional nanomaterials for on-site analysis." Biomaterials research 24.1 (2020): 6.
  2. Distributed under Open Access license CC BY 4.0, without modification.
  3. Al-Qaoud, Khaled M., et al. "The development of an electrochemical immunosensor utilizing chicken IgY anti-spike antibody for the detection of SARS-CoV-2." Scientific Reports 14.1 (2024): 748.
  4. Rehsawla, Rizwana, et al. "Nanofilm-enhanced electrochemical DNA sensing: a breakthrough for yellow rust detection in wheat." Materials Research Express 10.11 (2023): 116402.

For Research Use Only.



Online Inquiry
Name:
Phone:
*E-mail Address:
*Service & Products Interested:
Project Description:
Inquiry Basket
Happy Holidays
Happy Holidays close ad