Custom Antisense Oligonucleotide Synthesis

Antisense oligonucleotides (ASOs) modulate gene expression by mechanisms including RNA degradation by RNase H, translation inhibition, or modification of splicing. Their high specificity has made them indispensable in research whereby they are employed for the knockdown of genes and study of specific RNA functions both in vitro and in vivo. In therapeutic areas, ASOs have been exploited to target genetic disease beyond conventional therapies, providing a very flexible approach to gene regulation. Looking forward, the combination of ASOs with gene-editing technologies for gene therapy such as CRISPR has great potential to allow for even more precise gene regulation and, therefore, to move the field toward increasingly personalized, more effective treatments for a wide variety of diseases.

Given the increased interest in the drug development sector, Creative Biolabs offers custom antisense oligonucleotide synthesis to meet demand for high-quality, custom-designed ASO therapeutics and research tools. Equipped with extensive expertise in nucleic acid chemistry and knowledge in gene modulation, we provide fully customized ASO products, as well as design, synthesis, and optimization services according to your specific research or clinical needs. We provide service by applying advanced chemical modifications and conjugation techniques toward maximizing efficacy, stability, and delivery. Creative Biolabs can provide you with the right in vitro ASOs to study gene knockdown, modulate splicing, or develop therapeutics for your specific needs. 

Antisense Oligonucleotide Synthesis Service Workflow

Consultation & Design

Our team works closely with clients to understand their research or therapeutic goals. We assist in the design of antisense oligonucleotides, considering factors such as target RNA sequence, chemical modifications, and potential off-target effects.

Consultation & Design
Sequence Optimization

Sequence Optimization

Bioinformatics tools are used to optimize the oligonucleotide sequence for enhanced stability, binding affinity, and reduced immunogenicity. Special attention is given to avoiding secondary structures and unintended interactions.

Chemical Modifications

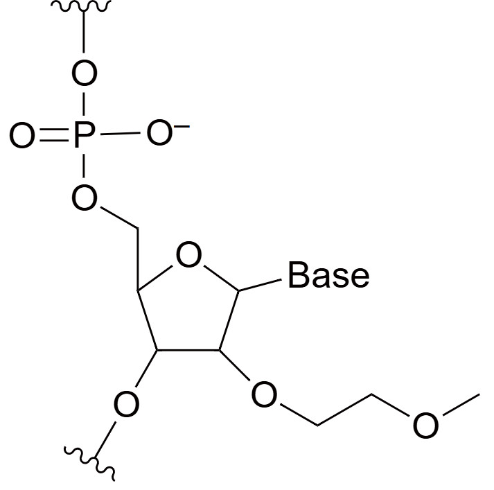
We offer a variety of chemical modifications to improve ASO stability and efficacy. Options include backbone modifications (phosphorothioates, 2’-O-methyl), terminal modifications, and conjugation for targeted delivery (e.g., GalNAc, peptides). Full list of available modifications is listed below.

Chemical Modifications
Synthesis & Purification

Synthesis & Purification

Using cutting-edge synthesis platforms, the ASO is chemically synthesized and undergoes rigorous purification (e.g., HPLC, ion-exchange chromatography) to ensure high purity and yield.

Quality Control & Validation

Every oligonucleotide undergoes stringent quality control testing, including mass spectrometry and sequence verification, to ensure it meets the desired specifications and standards.

Quality Control & Validation
Delivery & Support

Delivery & Support

Finalized ASOs are delivered to the client with detailed QC reports. Post-delivery support includes consultation on ASO handling, storage, and experimental setup if required.

Available Modifications

2'-O-Methyl (2'-OMe)
2'-O-Methyl (2'-OMe)

2'-O-Methyl (2'-OMe) RNA bases are chemically modified nucleotides where a methyl group (-CH3) is added to the 2' hydroxyl group of the ribose sugar. This structural alteration serves two primary purposes: increasing the chemical stability of the oligonucleotide and reducing its immunogenicity when introduced into biological systems. By adding a bulky, hydrophobic methyl group, the oligonucleotide becomes more resistant to enzymatic degradation by ribonucleases, which would otherwise cleave unmodified RNA molecules. Furthermore, the 2'-OMe modification decreases the immune recognition of the oligonucleotide, which is especially important in therapeutic applications to avoid immune system activation. This modification is commonly found in antisense oligonucleotides (ASOs), small interfering RNAs (siRNAs), and other RNA therapeutics, where it enhances the molecule's binding affinity to complementary RNA strands, improves pharmacokinetic properties, and prolongs the therapeutic effect. Its reduced immunogenicity also makes 2'-OMe RNA bases a preferred choice in treatments where minimizing immune response is critical for patient safety.

Phosphorothioate (PS)
Phosphorothioate (PS)

Phosphorothioate is a backbone modification in which one of the non-bridging oxygen atoms in the phosphate group of an oligonucleotide is replaced with a sulfur atom. This seemingly small alteration has profound effects on the stability and function of the oligonucleotide. Phosphorothioate-modified oligonucleotides are highly resistant to degradation by nucleases, the enzymes that typically cleave unmodified oligonucleotides in biological systems. This enhanced stability makes phosphorothioate oligonucleotides ideal candidates for therapeutic applications, particularly in antisense and siRNA technologies, where sustained activity in vivo is necessary for effective gene silencing. Additionally, the sulfur substitution alters the oligonucleotide's overall charge and conformation, which can improve its interaction with proteins and other cellular components. However, the modification may also slightly reduce the binding affinity of the oligonucleotide for its target RNA or DNA sequence, so careful design is required to balance stability and efficacy in therapeutic applications. Despite this, phosphorothioate modifications remain a cornerstone in oligonucleotide therapeutics due to their excellent durability in physiological conditions.

2'-O-Methoxyethyl (MOE)
2'-O-Methoxyethyl (MOE)

2'-O-Methoxyethyl (MOE) modifications involve the addition of a methoxyethyl group (-OCH2CH2OCH3) to the 2' position of the ribose sugar in adenosine, guanosine, or thymidine nucleotides. This bulky group significantly enhances the oligonucleotide's stability and resistance to nucleases, while also improving the affinity of the oligonucleotide for its complementary strand. MOE-modified nucleotides are often used in therapeutic oligonucleotides, such as antisense drugs and siRNAs, where durability in biological systems is essential for efficacy. MOE-modified oligonucleotides have prolonged half-lives in vivo, allowing for less frequent dosing in therapeutic settings. Additionally, the MOE modification improves the oligonucleotide's pharmacokinetics by enhancing its binding specificity and reducing the likelihood of off-target effects. This modification is particularly valuable in treating chronic diseases, where long-term stability and efficacy are required for sustained therapeutic outcomes.

N-acetyl-galactosamine (GalNAc)
N-acetyl-galactosamine (GalNAc)

N-acetyl-galactosamine (GalNAc) is a carbohydrate modification that plays a critical role in targeted drug delivery, particularly for therapeutic oligonucleotides designed to treat liver diseases. GalNAc conjugation allows oligonucleotides to bind with high affinity to the asialoglycoprotein receptor (ASGPR), which is highly expressed on hepatocytes, the predominant cells in the liver. This receptor-mediated delivery system ensures that GalNAc-conjugated oligonucleotides are selectively taken up by liver cells, enabling precise targeting of therapeutic molecules. GalNAc modifications have revolutionized the field of RNA therapeutics by providing a highly efficient and selective method for delivering siRNAs, antisense oligonucleotides, and other RNA-based drugs to the liver. This targeted approach not only improves therapeutic efficacy but also reduces off-target effects and minimizes systemic toxicity. GalNAc conjugates are particularly valuable in the treatment of liver-associated diseases such as hypercholesterolemia, hepatitis, and liver fibrosis, where precise delivery to hepatocytes is essential for successful treatment outcomes.

2'-Fluoro (2'-F)
2'-Fluoro (2'-F)

2'-Fluoro (2'-F) modifications involve substituting the hydroxyl group at the 2' position of the ribose sugar with a fluorine atom in adenosine, cytidine, guanosine, or uridine nucleotides. This substitution significantly enhances the stability of the oligonucleotide by increasing resistance to ribonucleases, which typically degrade unmodified RNA molecules. Fluorine is a small, highly electronegative atom that provides chemical stability without significantly altering the base pairing properties of the nucleotide, allowing the modified oligonucleotide to maintain high binding affinity to its target sequence. The increased stability of 2'-F-modified oligonucleotides makes them particularly useful in therapeutic applications, such as siRNAs, antisense oligonucleotides, and aptamers, where long-lasting activity is required. Additionally, 2'-F-modified oligonucleotides exhibit improved pharmacokinetic profiles, including enhanced serum stability and extended half-life, making them more effective in therapeutic settings. These modifications also reduce the immunogenicity of the oligonucleotide, minimizing the risk of immune activation and adverse reactions in patients.

Peptide Nucleic Acid (PNA)
Peptide Nucleic Acid (PNA)

Peptide Nucleic Acid (PNA) is a synthetic nucleic acid analog in which the standard sugar-phosphate backbone of DNA or RNA is replaced by a peptide-like backbone composed of N-(2-aminoethyl) glycine units. This unique structure makes PNAs neutral in charge, allowing for stronger hybridization with complementary DNA or RNA sequences due to the lack of electrostatic repulsion. PNAs exhibit high thermal stability and specificity in binding to complementary strands, making them excellent tools for molecular diagnostics, antisense therapies, and gene editing applications. PNAs are also highly resistant to enzymatic degradation, increasing their durability in biological systems. Due to their synthetic backbone, PNAs are less likely to trigger immune responses, making them suitable for therapeutic uses. PNA oligomers can bind to single-stranded DNA or RNA with high affinity, forming stable duplexes that can interfere with gene expression or inhibit protein synthesis, offering promising applications in gene regulation and targeted therapeutics.

Bridged Nucleic Acid (BNA)
Bridged Nucleic Acid (BNA)

Bridged Nucleic Acid (BNA) is a type of synthetic nucleotide analog in which the ribose sugar is chemically "bridged" between the 2' oxygen and the 4' carbon, locking the sugar in a constrained conformation. This structural modification enhances the thermal stability of oligonucleotides by increasing their binding affinity to complementary nucleic acid strands. BNA modifications, improve the hybridization properties of oligonucleotides, making them more effective at targeting specific DNA or RNA sequences. BNAs are commonly used in antisense oligonucleotides, siRNAs, and molecular probes, where precise binding and resistance to nuclease degradation are critical. The bridged structure reduces the conformational flexibility of the nucleotides, resulting in tighter binding to complementary strands and greater resistance to degradation by enzymes. These properties make BNAs particularly useful in therapeutic applications where stability and specificity are paramount, such as in the development of gene silencing therapies and molecular diagnostics.

5-Methylcytidine
5-Methylcytidine

5-Methylcytidine is a modified cytosine nucleotide in which a methyl group is attached to the 5-carbon position of the cytosine ring. This modification plays a crucial role in epigenetic regulation, as it mimics the natural methylation of cytosine in DNA, which is commonly involved in gene silencing. The methylation of cytidine can influence gene expression by affecting how DNA interacts with transcriptional machinery or by altering chromatin structure. In synthetic oligonucleotides, 5-Methylcytidine enhances hybridization specificity and stability when forming duplexes with complementary strands. This modification increases the thermal stability of the nucleic acid duplex, making it more resistant to denaturation and degradation by nucleases. 5-Methylcytidine is often incorporated into antisense oligonucleotides, siRNAs, and other nucleic acid-based therapeutics to improve binding affinity to target sequences, increase biological stability, and better mimic the natural methylation patterns found in gene regulation studies.

Abasic RNA
Abasic RNA

Abasic RNA refers to RNA molecules in which a base (adenine, cytosine, guanine, or uracil) has been removed, leaving an "abasic site." These sites, also known as apurinic or apyrimidinic (AP) sites, are devoid of a nucleobase but still retain the ribose-phosphate backbone. Abasic RNA modifications are often introduced in experimental settings to study the effects of missing bases on RNA stability, structure, and function. In therapeutic and molecular biology contexts, abasic sites are used to disrupt RNA duplex formation or ribonucleoprotein interactions, affecting the biological activity of the RNA. RNA molecules with abasic sites are generally less stable because the absence of a base weakens the hydrogen bonding required for proper base pairing with complementary sequences. However, abasic modifications can also be used to intentionally destabilize RNA structures for certain applications, such as regulating gene expression or studying RNA degradation pathways.

Other Modifications
2'-Deoxy bases
2'-F-arabinonucleic acid (2'-F-ANA)
5'-Fluorescein (Fl)
5' Thiophosphate
5'-Cholesterol (Chl)
5-Methyl-Deoxycytidine (5-M-Dc)
MOE-5-Methyl-Cytidine
3'-Cholesterol (3'-Chl)
3'TEG-Cholesterol (TEG-Chl-3')

Why Choose Us?

Precision in Antisense Oligonucleotide Synthesis

At Creative Biolabs, we are dedicated to delivering high-precision antisense oligonucleotide synthesis that ensures precise, sequence-specific modulation of gene expression for various therapeutic applications. Our advanced synthesis capabilities encompass a broad range of nucleotide modifications, including DNA, 2'-O-Methyl RNA, RNA, and constrained nucleotide bases, with options for both phosphorothioate and unmodified internucleotide bonds to meet diverse project requirements. This versatility allows us to tailor oligonucleotides that enhance stability, efficacy, and therapeutic potential.

Innovative Modifications for Enhanced Performance

Our antisense oligonucleotides benefit from innovative modifications like phosphorothioates and 2'-O-Methyl RNA, which provide high nuclease resistance, improved water solubility, and reduced toxicity. We also offer advanced oligonucleotide classes, ensuring superior hybridization affinity. With a comprehensive product range, including plasmid backbones and gene modifications targeting various human diseases, we support extensive research and therapeutic applications.

State-of-the-Art Manufacturing and Expert Support

Utilizing our state-of-the-art manufacturing facility and in-house bioanalytical laboratory equipped with advanced analytical tools, we ensure the production of technically challenging yet safe and effective antisense oligonucleotides. Our experienced team, with years of expertise in early drug discovery and oligonucleotide synthesis, is dedicated to providing expert support throughout your project. With a proven track record of successful deliveries, we are poised to assist in driving innovative therapeutic solutions. If you are interested in our services, please contact us for more details.

Resources

Use the resources in our library to help you understand your options and make critical decisions for your study.

  • Webinars
  • Technical Videos
  • Podcasts
  • Support Knowledge

Related Sections

Online Inquiry

For research use only. Not intended for any clinical use.

This site is protected by reCAPTCHA and the Google Privacy Policy and Terms of Service apply.