0
Inquiry Basket

There is no product in the shopping cart, buy it!

Glycoconjugation Services

Jump to Section

Online Inquiry

To investigate and elucidate the functions of glycoconjugates, efficient methods for the conjugation of carbohydrates to biomolecules have been investigated. Creative Biolabs has accumulated extensive experience in providing our clients with high-quality custom conjugation service, including conjugation of carbohydrates to proteins, peptides, oligonucleotides, and other biomolecules.

Background of Carbohydrates Conjugation to Biomolecules

Carbohydrates are an extremely wide group of biomolecules consisting of numerous possible monomers and their linkages. Structural monomers can also be acetylated, phosphorylated or branched. Except for hydroxyl groups, carbohydrates often bear carboxyl groups, amino groups and many other reactive groups. The reaction of a carbonyl group with amine proceeds is also compatible with many functional groups present in biomolecules. Glycoconjugates such as glycoproteins, glycopeptides and glycolipids are ubiquitous in nature. They are found on cell surfaces and are responsible for processes such as cell-cell interaction, recognition and communication. Carbohydrates conjugation with proteins may achieve improved functions, such as solubility, thermal stability, emulsifying ability, and moreover, carbohydrate-protein conjugates play vital roles in both basic and applied research. Therefore, great efforts to develop efficient chemical methods for the conjugation of carbohydrates to biomolecules are of crucial importance.

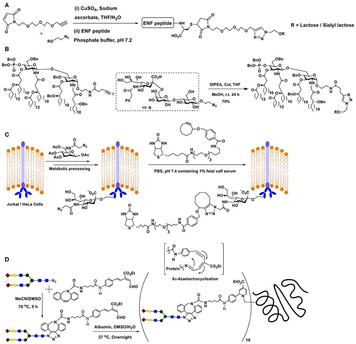
Fig.1 Conjugation of biantennary complex N-glycans with human serum albumin by chemistry method.Fig.1 Conjugation of N-glycans with human serum albumin by click chemistry.1

Custom Carbohydrates Conjugation Service at Creative Biolabs

Reductive amination remains one of the key methods for the direct conjugation of carbohydrates to the amino group of proteins especially from unprotected free mono- and oligosaccharides. Scientists at Creative Biolabs employ an improved procedure (addition of a kind of salt) for direct coupling of carbohydrates to proteins via reductive amination. The addition of salt in the reaction mixture can highly improve the conjugation efficiency, and this condition is compatible with microgram quantities of carbohydrate-protein conjugates for use in assays.

To assist our clients' specific objectives, we offer experimental design, protocol development and procedure for the preparation of conjugates as required. The prepared conjugation is quality controlled according to our in-house standards, which are tailored for individual assignments.

Our Glycoconjugate Service Portfolios Including but Not Limited to:

  • Conjugation of carbohydrate to proteins, including synthetic protein and natural protein
  • Conjugation of carbohydrate to peptides
  • Conjugation of carbohydrate to oligonucleotides
  • Conjugation of carbohydrate to antibodies
  • Conjugation of carbohydrate to drugs
  • Conjugation of carbohydrate to labels
  • Carbohydrate immobilization

In addition, for the conjugated glycoproteins, we also provide a series of professional Glycoprotein Conjugation Services, which are specifically designed and synthesized for glycoproteins. Glycoproteins are complex molecules composed of sugar chains and proteins, and their functions and properties are often affected by the structure of sugar chains. Therefore, through precise sugar conjugation, the biological activity and stability of glycoproteins can be significantly improved, so that clients can develop downstream applications.

We offer a range of glycoprotein conjugation services that encompass various tailored conjugation strategies. Our expertise covers everything from fundamental glycoprotein conjugation to the precise modification of specific biomolecules. Such as GFP Binding Protein Glycoconjugation, Antibody Glycoconjugation, and Growth Factor Glycoconjugation services. In addition to targeting particular types of biomolecules, we also focus on protein conjugation of different sugar types (such as GlcNAc-type, LacNAc-type, and LacNAc-Sia-type Glycoprotein). These services provide a variety of sugar structure options according to research needs to optimize the characteristics of glycoproteins and meet the requirements of different experiments and applications. In these glycoconjugation services, the choice of chemical reaction is also crucial, so the Aldehyde Reaction-based and Azide Reaction-based Glycoprotein Conjugation services provide flexible and effective conjugation strategies. The aldehyde reaction method relies on the reaction of aldehyde groups with amino acid residues to achieve efficient glycoprotein binding, while the azide reaction method uses the principle of "click chemistry" to provide a simple, rapid, and efficient labeling method for biological molecules. These services not only enrich the toolbox of scientific research but also open up new perspectives for new drug development and biomedical research. Through the continuous improvement of sugar conjugation technology, we have a deeper understanding of the functions of biomolecules and their interactions, providing a solid foundation for subsequent applications.

Our professional technical scientists, comprehensive powerful platform, and extensive experience make Creative Biolabs a perfect partner to offer our clients high-quality custom carbohydrates conjugation services. We offer turn-key or a la carte services customized to our client’s needs. Please contact us for more information and a detailed quote.

Published data

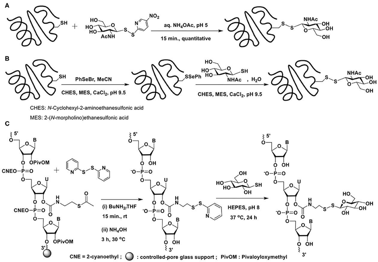
Carbohydrates bind to other compounds to form glycoconjugates and participate in a variety of biological processes. The covalent attachment of carbohydrates to other molecules under mild conditions helps to reveal various biological functions of carbohydrates in organisms. Various chemical methods have been developed to realize glycoconjugation between carbohydrates and other molecules, such as click chemistry, natural chemical linkage (NCL), and so on. This paper provides us with a detailed overview of the methods, potential problems, and examples for binding these carbohydrates to biomolecules and macromolecular scaffolds. As the methods develop and mature, issues such as site selectivity will be addressed.

In addition to glycoconjugation methods, this paper also addresses the importance of glycoconjugation for functional characterization. Due to the heterogeneity of glycan structures in natural glycoproteins, there are certain difficulties in the study of conformational relationships between glycan structures and glycoprotein functions. Methods such as NCL can realize precise control of glycoprotein structures. They are effective strategies for synthesizing homogeneous glycoproteins and play a role in the study of correlations between structure and functions.

Glycoconjugation of sugars with proteins and others is a research priority. These methods presented in this paper provide theoretical support for the glycoconjugation of carbohydrates with peptides, proteins, etc.

Fig.2 Flowchart of several molecular conjugations.Fig.2 Glycoconjugation of different molecules.1

FAQs

Q1: What are the methods used for glycoconjugation?

A1: A variety of chemical methods have been developed to achieve glycoconjugation between various molecules. In addition to the classical methods based on reductive amination and amidation, there are several newly developed conjugation methods including thiol-ene reaction, azide-alkyne cycloaddition reactions, Staudinger ligation, vinyl sulfone reactions, natural chemical ligation, Suzuki-Miyaura reactions, etc.

Q2: What is the role of glycoconjugation in the tailored synthesis of glycoproteins?

A2: Glycosylation is one of the common post-translational modifications and plays a vital role in cell adhesion, recognition and signaling, etc. Glycoconjugate is an effective strategy to synthesize structurally specific glycoproteins, which play an important role in improving antibody-dependent cell-mediated cytotoxicity (ADCC) activity of antibodies, developing reliable vaccines, investigating glycan functions, etc.

Q3: Can glycoconjugate protocols be customized?

A3: Yes, our team has extensive experience in the coupling of carbohydrates to other molecules. We customize tailored protocols according to our client's specific research goals and select the appropriate method for conjugation to ensure maximum satisfaction of your needs and achievement of desired results.

Customer Review

Customized Coupling Solutions
"Creative Biolabs had a variety of chemical protocols for the conjugation of carbohydrates to proteins. They customized the experimental protocol after understanding our needs and helped us synthesize glycoproteins with specific structures. We were very satisfied with the services and products they provide."

Efficient Glycoconjugation Service
"Creative Biolabs demonstrated top-notch professionalism and expertise throughout the entire process of providing the glycoconjugation service. They not only communicated efficiently but also reported on the progress of the project at all times to ensure transparency. Their professionalism and service exceeded our expectations and they were great to work with."

Reference

  1. Sarkar, Biswajit, and Narayanaswamy Jayaraman. "Glycoconjugations of biomolecules by chemical methods." Frontiers in Chemistry 8 (2020): 570185. Distributed under Open Access license CC BY 4.0, without modification.

Related Services

For Research Use Only.

Online Inquiry
Creative Biolabs-Glycoprotein Contact Us Follow us on
Close
Thanksgiving
Thanksgiving