0
Inquiry Basket

There is no product in the shopping cart, buy it!

Custom Oligosaccharide Synthesis Services

Advances in carbohydrate chemistry have certainly made common oligosaccharides much more accessible. Equipped with world-leading technology platforms and professional scientific staff in glycan synthesis, Creative Biolabs is committed to offering high-quality custom oligosaccharide and oligosaccharide derivatives synthesis services to promote the progress of oligosaccharide related projects.

Importance of Oligosaccharide

Oligosaccharide sequences are found in numerous natural compounds and constitute the core of many therapeutics. They are involved in a wide range of biological processes, including bacterial and viral infection, cancer metastasis, the blood-clotting cascade, and many other crucial intercellular recognition events. The presence of glycans in glycoproteins, glycolipids, glycosaminoglycans, and other conjugates presents a treasure of potential information on cellular differentiation and condition. Over half of all proteins in the human body are N- or O-glycosylated, and cell surfaces present a rich multitude of glycolipids and glycosaminoglycans. Oligosaccharides carrying information on biological significance are found in body fluid, on cell surfaces, and within cells.

Applications of Oligosaccharides in Glycomedicine

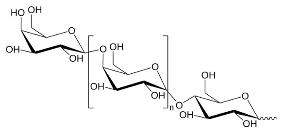
Fig.1 Galacto-oligosaccharide structure. Fig.1 The structure of galacto-oligosaccharide. Distributed under Open Access license CC BY-SA 4.0, from Wiki, without modification.

A major obstacle in glycomedicine is the lack of pure and structurally well-defined oligosaccharides. These compounds are usually in low concentrations and in microheterogeneous forms, which make the isolation and characterization complicated. Based on chemical or enzymatic synthesis methods, well-defined oligosaccharides have been obtained in many cases. Such compounds are increasingly used to address important problems in glycobiology research and for drug discovery. For example, chemoenzymatic approach for the preparation of a library of over 400 oligosaccharides using array technology has been employed for profiling the specificity of a diverse range of glycan-binding proteins.

Synthetic oligosaccharide epitopes offer promising possibilities for the development of vaccines for the prevention of infectious diseases, including human immunodeficiency virus (HIV), Haemophilus influenzae type b, Plasmodium falciparum, Cryptococcus neoformans, Vibrio cholerae, Streptococcus pneumoniae, Neisseria meningitides, Candida albicans, and Bacillus anthracis. These oligosaccharides have also been employed for the development of therapeutic vaccines for cancer. The over-expression of oligosaccharides, such as Tn antigen, is a common feature of oncogenic transformed cells. A broad of preclinical and clinical studies have demonstrated that antibodies against carbohydrate-associated tumor antigens are able to eliminate circulating tumor cells and micro-metastases in cancer patients.

Custom Oligosaccharide Synthesis at Creative Biolabs

Despite ongoing challenges, tremendous progress has been made in recent years for the synthesis of oligosaccharide. With the latest instruments and professional staff, Creative Biolabs utilizes our advanced synthesis technology platforms and specialized expertise to serve our global clients with high-quality oligosaccharide and oligosaccharide derivative, including but not limited to:

Highlights

  • Synthesis of natural and non-natural oligosaccharides
  • Large quantity, up to 10 g scale
  • Ranging from 4-mer to 18-mer
  • Various chemical modifications at the part of sugar chain, including bromoacetamidyl modification
  • Introduction of fluorescent labels or affinity tag, like biotin at the reducing end or nonreducing end of the oligosaccharides
  • Stable isotopically labeled oligosaccharides with 13C-, 2H- or both 13C- and 2H

Oligosaccharides are increasingly used as probes for biological research and as lead compounds for drug and vaccine discovery. Creative Biolabs is pleased to share our technology and extensive experience in oligosaccharide synthesis to meet customers’ needs from early research to commercial production. Please contact us for more information and a detailed quote.

Published data

Heparan sulfate (HS) is a polysaccharide compound that is closely related to proteins in the extracellular matrix. It interacts with cytokines, growth factors and other molecules through specific domains and participates in the regulation of important physiological processes such as cell signaling, cell adhesion and inflammatory response. HS plays a key role in biological processes such as blood clot formation, angiogenesis, immune response and tumor development, and is therefore considered to have potential biomedical applications. This study aims to overcome the current difficulties in the chemical synthesis of large HS oligosaccharides. The authors used disaccharides (derived from heparin degradation products) as starting materials, constructed oligosaccharide backbones using non-natural UDP-monosaccharide donors and bacterial glycosyltransferases, and selectively modified these oligosaccharides using C5-epimerase (C5-epi) and different HS sulfotransferases to prepare structurally well-defined oligosaccharide products with the desired sulfation pattern. The authors then analyzed the prepared oligosaccharides by liquid chromatography-mass spectrometry (LC-MS) and determined the binding affinity of the oligosaccharide samples to antithrombin (AT) by affinity co-electrophoresis. This study shows the feasibility of using chemoenzymatic methods to fully synthesize well-defined HS oligosaccharides, which will promote further research in the field of HS glycomics.

Fig.2 Synthesis schemes of different oligosaccharides.Fig.2 Synthesis routes of different oligosaccharides.2

FAQs

Q1: What are the primary methods you use for oligosaccharide synthesis?

A1: We employ both chemical and enzymatic approaches to synthesize structurally well-defined oligosaccharides. Chemical synthesis allows for precise control of glycosidic bonds and the introduction of a variety of modifications, while enzymatic synthesis utilizes specific glycosyltransferases and glycosidases to build oligosaccharides in a more biologically relevant manner. Our platform enables the synthesis of complex glycans with high specificity and efficiency.

Q2: How do you approach the synthesis of rare or extremely complex oligosaccharides?

A2: For rare or highly complex oligosaccharides, we develop custom synthetic routes targeting specific structures. This may involve extensive optimization and iterative testing to obtain the desired compounds with high accuracy. We leverage our expertise in chemical and enzymatic synthesis, as well as our ability to integrate novel enzymes and catalysts, to efficiently address these challenging projects.

Q3: What are the primary applications of the custom oligosaccharides you synthesize?

A3: The custom oligosaccharides we synthesize have a wide range of applications, including:

  • Glycobiology research: Studying sugar-protein interactions, cellular communication, and signaling pathways.
  • Drug discovery: As lead compounds or probes to identify therapeutic targets.
  • Vaccine Development: Designing synthetic oligosaccharide epitopes for infectious disease and cancer vaccines.
  • Diagnostic tools: Creating sugar-based diagnostic tools for a variety of diseases. Our products support both basic research and translational applications in healthcare.

Customer Review

Advancing Vaccine Development
"Creative Biolabs, with its excellent professional technology platform and experienced scientific team, successfully provided us with high-quality oligosaccharide synthesis services, which advanced our cancer vaccine research and development by a big step. Through their services, we obtained oligosaccharide molecules with clear structures and successfully validated a variety of tumor-related antigen targets. This provided indispensable data support for our preclinical research, and we are very grateful for their professionalism and quick response."

Synthesized Oligosaccharides Are of High Purity And Stable Structure
"In the drug screening process, heparin oligosaccharides have complex structures and are difficult to synthesize. Creative Biolabs provided high-quality heparin oligosaccharides for our drug development projects. Through their synthesis services, the products not only met expectations in terms of purity but also performed well in structural stability, allowing us to successfully screen potential tumor inhibitor molecules."

References

  1. Image retrieved from https://commons.wikimedia.org/wiki/File:GOS.svg, Timin2002, 2018, distributed under CC BY-SA 4.0, without any modification.
  2. Liu, Renpeng, et al. "Chemoenzymatic design of heparan sulfate oligosaccharides." Journal of Biological Chemistry 285.44 (2010): 34240-34249. Distributed under Open Access license CC BY 4.0, without modification.
For Research Use Only.

Related Services

Online Inquiry
Creative Biolabs-Glycoprotein Contact Us Follow us on
Close
Thanksgiving
Thanksgiving