CD72

All products and services are For Research Use Only and CANNOT be used in the treatment or diagnosis of disease.

Product List Background Anti-CD72 CAR-T Services Anti-CD72 CAR-T In Vitro Assay ServicesAnti-CD72 CAR-T In Vivo Assay Services

Product List

Creative Biolabs offers a wide range of products and services in the field of CD72 CAR-T cell therapy development. Furthermore, we understand that each client may have unique needs and requirements. Therefore, we also specialize in offering customizable services tailored to specific client preferences.

Background

CD72, an ITIM-bearing inhibitor of B-cell receptor signaling, is highly expressed in MLL1-rearranged (MLLr) B-cell acute lymphoblastic leukemia. Further investigation has demonstrated the consistent CD72 expression in diffuse large B-cell lymphoma. It is a promising immunotherapy target for the immunotherapy development of MLLr B-cell acute lymphoblastic leukemia.

Associated Diseases

Anti-CD72 CAR-T Services

Anti-CD72 CAR-T In Vitro Assay Services

CD72 CAR-T Expression Test

Our CD72 CAR-T expression test service provides a comprehensive analysis of the expression and functionality of CAR-T cells targeting CD72. Our team of experts, who have undergone rigorous training and have extensive experience, employ state-of-the-art methods to evaluate the effectiveness and quality of CAR-T cells.

Flow cytometry with recombinant biotinylated CD72 to assess the expression of CD72 CAR. Fig.1 Flow cytometry with recombinant biotinylated CD72 to assess the expression of CD72 CAR.1

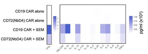
CD72 CAR-T Cytokine Release Test

Cytokine release syndrome is a potentially severe and life-threatening immune response that can occur after CAR-T cell infusion. We offer CD72 CAR-T cytokine release tests, which is a valuable tool used in immunotherapy to assess the safety and efficacy of chimeric antigen receptor T (CAR-T) cell therapy targeting CD72.

Cytokine profiling of CD72(NbD4) CAR T showed comparable patterns of cytokine release to CD19 CAR-T. Fig.2 Cytokine profiling of CD72(NbD4) CAR T showed comparable patterns of cytokine release to CD19 CAR-T.2

CD72 CAR-T In Vitro Cytotoxicity Assay

We are delighted to offer our CD72 CAR-T cytotoxicity assay service, utilizing cutting-edge technology and expertise to address your specific needs. This service is designed to assess the effectiveness and potency of CD72 CAR-T therapy in targeting and eliminating CD72-expressing cancer cells. Additionally, our CD72 CAR-T cytotoxicity assay service can be customized to meet your specific research goals.

In vitro cytotoxicity of either CD72, CD19, or CD8and CD4CAR T’s against two B-ALL cell lines. (Nix, et al., 2021) Fig.3 In vitro cytotoxicity of either CD72, CD19, or CD8and CD4CAR T's against two B-ALL cell lines.2

CD72 CAR-T Cell Proliferation Test

The CD72 CAR-T Cell Proliferation Test we offer is specifically developed to offer a thorough and precise understanding of the functional properties of CD72 CAR-T cells. Through a series of rigorous experiments and analysis, we evaluate the growth rate, viability, and potency of these engineered cells, ensuring their optimal functionality and therapeutic potential.

CD72 CAR-T's also demonstrated robust proliferation, equivalent to CD19 CAR-T. Fig.4 CD72 CAR-T's also demonstrated robust proliferation, equivalent to CD19 CAR-T.2

Anti-CD72 CAR-T In Vivo Assay Services

CD72 CAR-T Cell Therapy Animal Models

We have the expertise and resources to offer a range of services for the development of CD72 CAR-T Cell Therapy Animal Models. Our team of skilled scientists and researchers utilize advanced genetic engineering techniques to generate animal models that accurately recapitulate the human disease condition.

Efficacy Test of CD72 CAR-T

Our efficacy testing services focus on assessing the effectiveness of CD72 CAR-T therapy in killing cancer cells and suppressing tumor growth. Through a series of in vivo experiments, we evaluate the cytotoxicity of CD72 CAR-T cells against CD72-positive cancer cells.

In both cell line and xenograft models of B-ALL, CD72 CAR T has demonstrated its ability to eradicate tumors and enhance survival rates. Fig.5 In both cell line and xenograft models of B-ALL, CD72 CAR T has demonstrated its ability to eradicate tumors and enhance survival rates.2

Toxicity Evaluation of CD72 CAR-T

We offer CD72 CAR-T Toxicity Evaluation services that are designed to assess the safety and potential toxicities associated with the use of CD72 CAR-T cells. Our CD72 CAR-T toxicity evaluation services include comprehensive in vivo tests, which involve the administration of CD72 CAR-T cells to animal models to evaluate their safety and potential toxicities.

References

  1. Temple, William C.; et al. "Framework humanization optimizes potency of anti-CD72 nanobody CAR-T cells for B-cell malignancies." Journal for Immunotherapy of Cancer 11.11 (2023).
  2. Nix, Matthew A.; et al. "Surface proteomics reveals CD72 as a target for in vitro–evolved nanobody-based CAR-T cells in KMT2A/MLL1-rearranged B-ALL." Cancer discovery 11.8 (2021): 2032-2049.
  • CAR Vector Products

  • AbTCR Vector Products

  • CAR Cell Products

  • CAR Viral Particles

  • Protein

  • CAR Animal Cells

  • CAR mRNA

  • CAR circRNA

  • Off-shelf CAR-NK (vNK-92) Cell Product

Loading...
  • Target Species:
  • Antibody Clone:
  • Antibody Host:
  • Receptor Construction:
  • Vector Type:
  • Targeting Cell Type:
  • CAR Vector Type:
CAT Product Name Target Species Antibody Clone Antibody Host Receptor Construction Vector Type Targeting Cell Type CAR Vector Type Inquiry & Datasheet
CAR-0120ZP2713 Anti-CD72 (4G4) h(CD28-CD3ζ) CAR, pCDCAR1 Human 4G4 Mouse scFv-CD28-CD3ζ Lentiviral vector T Cell   Add to Cart   Datasheet
CAR-0120ZP2714 Anti-CD72 (4G4) h(4-1BB-CD3ζ) CAR, pCDCAR1 Human 4G4 Mouse scFv-4-1BB-CD3ζ Lentiviral vector T Cell   Add to Cart   Datasheet
CAR-0120ZP2715 Anti-CD72 (II-2) h(CD28-CD3ζ) CAR, pCDCAR1 Human II-2 Human scFv-CD28-CD3ζ Lentiviral vector T Cell   Add to Cart   Datasheet
CAR-0120ZP2716 Anti-CD72 (II-2) h(4-1BB-CD3ζ) CAR, pCDCAR1 Human II-2 Human scFv-4-1BB-CD3ζ Lentiviral vector T Cell   Add to Cart   Datasheet
CAR-0120ZP2717 Anti-CD72 (sc02-025) h(CD28-CD3ζ) CAR, pCDCAR1 Human sc02-025 Human scFv-CD28-CD3ζ Lentiviral vector T Cell   Add to Cart   Datasheet
CAR-0120ZP2718 Anti-CD72 (sc02-025) h(4-1BB-CD3ζ) CAR, pCDCAR1 Human sc02-025 Human scFv-4-1BB-CD3ζ Lentiviral vector T Cell   Add to Cart   Datasheet
CAR-0120ZP2727 Anti-CD72 (BL-A) h(CD28-CD3ζ) CAR, pCDCAR1 Human BL-A Mouse scFv-CD28-CD3ζ Lentiviral vector T Cell   Add to Cart   Datasheet
CAR-0120ZP2728 Anti-CD72 (BL-A) h(4-1BB-CD3ζ) CAR, pCDCAR1 Human BL-A Mouse scFv-4-1BB-CD3ζ Lentiviral vector T Cell   Add to Cart   Datasheet
CAR-0120ZP2729 Anti-CD72 (A11) h(CD28-CD3ζ) CAR, pCDCAR1 Human A11 Mouse scFv-CD28-CD3ζ Lentiviral vector T Cell   Add to Cart   Datasheet
CAR-0120ZP2730 Anti-CD72 (A11) h(4-1BB-CD3ζ) CAR, pCDCAR1 Human A11 Mouse scFv-4-1BB-CD3ζ Lentiviral vector T Cell   Add to Cart   Datasheet
CAR-0120ZP2731 Anti-CD72 (BU41) h(CD28-CD3ζ) CAR, pCDCAR1 Human BU41 Mouse scFv-CD28-CD3ζ Lentiviral vector T Cell   Add to Cart   Datasheet
CAR-0120ZP2732 Anti-CD72 (BU41) h(4-1BB-CD3ζ) CAR, pCDCAR1 Human BU41 Mouse scFv-4-1BB-CD3ζ Lentiviral vector T Cell   Add to Cart   Datasheet
CAR-0120ZP2733 Anti-CD72 (BU40) h(CD28-CD3ζ) CAR, pCDCAR1 Human BU40 Mouse scFv-CD28-CD3ζ Lentiviral vector T Cell   Add to Cart   Datasheet
CAR-0120ZP2734 Anti-CD72 (BU40) h(4-1BB-CD3ζ) CAR, pCDCAR1 Human BU40 Mouse scFv-4-1BB-CD3ζ Lentiviral vector T Cell   Add to Cart   Datasheet
CAR-0120ZP2735 Anti-CD72 (CBYY-C0427) h(CD28-CD3ζ) CAR, pCDCAR1 Human CBYY-C0427 Mouse scFv-CD28-CD3ζ Lentiviral vector T Cell   Add to Cart   Datasheet
CAR-0120ZP2736 Anti-CD72 (CBYY-C0427) h(4-1BB-CD3ζ) CAR, pCDCAR1 Human CBYY-C0427 Mouse scFv-4-1BB-CD3ζ Lentiviral vector T Cell   Add to Cart   Datasheet
XS-0822-YF216 Anti-Human CD72 (XW-216) h(41BB-CD3ζ) CAR IVT Plasmid, pCARIVT Human XW-216 Mouse scFv-41BB-CD3ζ In Vitro Transcription (IVT) Vector   Add to Cart   Datasheet
XS-0822-YF217 Anti-Human CD72 (XW-217) h(41BB-CD3ζ) CAR IVT Plasmid, pCARIVT Human XW-217 Mouse scFv-41BB-CD3ζ In Vitro Transcription (IVT) Vector   Add to Cart   Datasheet
XS-0822-YF218 Anti-Human CD72 (XW-218) h(41BB-CD3ζ) CAR IVT Plasmid, pCARIVT Human XW-218 Human scFv-41BB-CD3ζ In Vitro Transcription (IVT) Vector   Add to Cart   Datasheet
XS-0822-YF219 Anti-Mouse CD72 (XW-219) m(41BB-CD3ζ) CAR IVT Plasmid, pCARIVT Mouse XW-219 Rat scFv-41BB-CD3ζ In Vitro Transcription (IVT) Vector   Add to Cart   Datasheet
Unable to find the desired product? Explore the Filter Options at the top of the list.
Key Updates
Newsletter. (Creative Biolabs Authorized) NEWSLETTER

The latest newsletter to introduce the latest breaking information, our site updates, field and other scientific news, important events, and insights from industry leaders

LEARN MORE NEWSLETTER
New Solution. (Creative Biolabs Authorized) NEW SOLUTION

CellRapeutics™ In Vivo Cell Engineering: One-stop in vivo T/B/NK cell and macrophage engineering services covering vectors construction to function verification.

LEARN MORE SOLUTION
Novel Solution. (Creative Biolabs Authorized) NOVEL TECHNOLOGY

Silence™ CAR-T Cell: A novel platform to enhance CAR-T cell immunotherapy by combining RNAi technology to suppress genes that may impede CAR functionality.

LEARN MORE NOVEL TECHNOLOGY
New Technology. (Creative Biolabs Authorized) NEW SOLUTION

Canine CAR-T Therapy Development: From early target discovery, CAR design and construction, cell culture, and transfection, to in vitro and in vivo function validation.

LEARN MORE SOLUTION
Receive our latest news and insights.