0
Inquiry Basket

There is no product in the shopping cart, buy it!

Custom Heparan Sulfate/Heparin Synthesis Service

Creative Biolabs is one of the well-recognized experts who are professional in oligosaccharides synthesis. Heparan sulfate/heparin oligosaccharides are difficult to obtain either from natural sources or through chemical synthesis. The complex sulfation pattern and the chain length is believed to contribute to the functional diversity of heparan sulfate. With years of research, Creative Biolabs has accumulated extensive experience in the chemoenzymatic synthesis of homogeneous heparan sulfate/heparin oligosaccharides with a wide range of sizes and sulfation patterns.

Introduction of Heparan Sulfate/Heparin

Heparan sulfate and heparin are linear polysaccharide chains composed of repeating linked pyrosulfuric acid and 2-amino-2-deoxy glucopyranose (glucosamine) residue, which can exhibit immense structural diversity due to substitution to varying extents with sulfate groups and epimerization of glucuronic acid to iduronic acid. Heparan sulfate is structurally related to heparin, an extremely highly sulfated form of heparan sulfate that is restricted to mast cells. Heparan sulfate is ubiquitously expressed on cell surfaces and in the extracellular matrix and basement membrane. The biosynthesis and modification of heparan sulfate chains are thought to take place within the endoplasmic reticulum, Golgi apparatus, and trans-Golgi network, which in the end produce unique heparan sulfate chains that are covalently attached to a range of core proteins to form heparan sulfate proteoglycans.

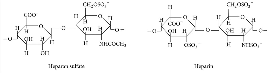
The structures of heparan sulfate and heparin. (Olczyk, Mencner & Komosinska-Vassev, 2015)Fig.1 Heparan sulfate and heparin.1, 2

Heparan sulfate has multiple roles in immune regulation and signaling during inflammation, both in the microenvironment and on the cell-surface of leukocytes. Soluble heparan sulfate fragments also have signaling properties and may serve as indicators of tissue damage. Heparan sulfate can occur either conjugated to amino acids, creating heparan sulfate proteoglycans or as unconjugated chains. Both heparan sulfate and heparan sulfate proteoglycans play important roles in cancer initiation and progression.

Custom Heparan Sulfate/Heparin Synthesis at Creative Biolabs

With years of research in oligosaccharides synthesis, scientists from Creative Biolabs employ a chemoenzymatic approach for the synthesis of homogeneous heparan sulfate/heparin oligosaccharides. We also offer high-quality custom heparan sulfate/heparin oligosaccharides synthesis services to meet even the most specific requirements.

Highlights

  • Heparan sulfate/heparin oligosaccharides ranging from 4-mer to 18-mer, with the highest quality are available
  • Custom synthesis of homogeneous heparan sulfate/heparin oligosaccharides
  • Highest purity, verified by nuclear magnetic resonance (NMR), mass spectrometry (MS) and high performance liquid chromatography (HPLC)
  • Top-rated customer experience
  • High flexibility and cost-effectiveness

Our professional technical scientists, comprehensive powerful platform, and abundant experience make us a perfect provider to offer custom heparan sulfate/heparin synthesis. For more information, please directly contact us or consult our technical supports online.

References

  1. Olczyk, Pawel, Łukasz Mencner, and Katarzyna Komosinska-Vassev. "Diverse roles of heparan sulfate and heparin in wound repair." BioMed research international 2015.1 (2015): 549417.
  2. Under Open Access license CC BY 3.0, without modification.
For Research Use Only.

Related Services

Online Inquiry
Creative Biolabs-Glycoprotein Contact Us Follow us on
Close
Thanksgiving
Thanksgiving