Creative Biolabs-Lipid Based Drug Delivery

Phosphatidylserine (PS)

Creative Biolabs is a biopharmaceutical company that holds a leadership position in the global market and focuses on improving human health condition through biotechnology. Our mission is to develop high-quality innovative tools and services to accelerate drug discovery.

Background of Phosphatidylserine

Phosphatidylserine (PS) is a biocompatible phospholipid that has a negative charge at biological pH and is a component of the cell membrane. It’s found mainly in animal innards and in plants. Its source determines the fatty acids composition at positions sn-1 and 2. Plant-derived PS is different from animal-derived PS, primarily in the absence of omega-3 long-chain polyunsaturated fatty acids. On a molar basis, PS is a relatively minor constituent of most biological membranes. However, the low abundance of PS is outweighed by its physiological importance given its unique physical and biochemical properties. PS has a structural role in maintaining the integrity of cell membranes and affects multiple neurochemical systems, including dopaminergic and cholinergic systems. In addition, PS is key to the recruitment and activation of many enzymes and structural components, and it marks important events such as the clearance of apoptotic cells and the internalization of viruses by host cells. When the cells undergo apoptosis, a large amount of PS is transferred to the outer cell membrane. The exposed PS acts as a specific recognition signal for the phagocytosis of apoptotic cells by macrophages. Nanomaterials containing PS exhibit immunomodulatory functions in different inflammatory models or deliver agents to specific sites enriched with macrophages.

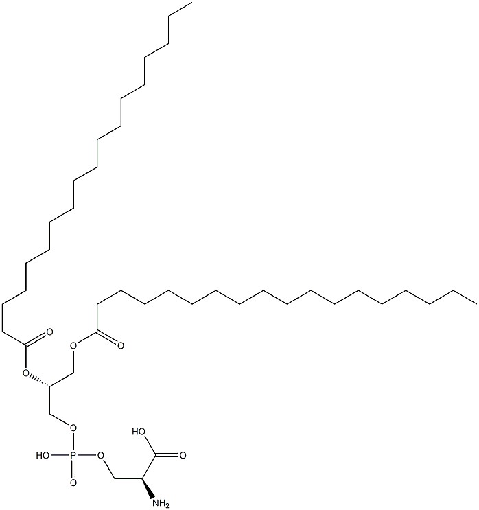
The Structure of Phosphatidylserine

Phosphatidylserine, an acidic phospholipid molecule, comprises a glycerol backbone and two fatty acid moieties that are esterified to the hydroxyl group of the serine via a phosphate group. Similar to other phospholipids, PS contains two acyl chains at the sn-1 and sn-2 positions of the glycerol moiety, and the polar head group is attached to the position sn-3. Although the acyl chains in the PS vary among cell types and organelles, saturated fatty acids of 16 or more carbons are generally attached to the sn-1 position, while unsaturated fatty acids are typically found at the sn-2 position.

Fig.1 The structure of phosphatidylserine. (Creative Biolabs Original)Fig 1 The structure of phosphatidylserine.

The Application of Phosphatidylserine in Drug Delivery

Because of their excellent biocompatibility and drug-protective effects, various types of liposomes, including PS, have been used as carriers for drug delivery. The inclusion of PS can result in the preferred recognition of liposomes by macrophages and improve drug encapsulation efficiency. Charged phosphatidylserine-containing liposomes (PSLs) are phagocytosed at higher rates due to specific or electrostatic interactions between cells and vesicles, thereby facilitating macrophage-targeted drug delivery. Therefore, targeting macrophages via phosphatidylserine nanoliposomes has become a promising approach for the delivery of some drugs. However, PSLs can be rapidly eliminated from the blood owing to their affinity for mononuclear phagocytes, and the short half-life of PSLs limits their application as drug delivery systems. To solve the latter problem, Creative Biolabs has developed a technique for modifying the surface of liposomes with polyethylene glycol (PEG). PEGylation disrupts the binding interaction between plasma proteins and liposomes, thereby inhibiting their recognition and elimination of blood by phagocytosis.

Highlights of Our Phosphatidylserine

With years of experience and pharmaceutical specialized teams, Creative Biolabs is capable of providing our global clients with the best customized formulations and services including but not limited to phosphatidylserine. We have the following advantages:

  • Well-established platform
  • Seasoned technology
  • Comprehensive and thoughtful service
  • High efficiency
  • One-stop pipeline

As a leading source provider in the field of biological research and drug discovery, Creative Biolabs is committed to ensuring that every process is focused on delivering the highest level of service and satisfaction, and we are proud to exceed industry standards with our timely and helpful responses to customer inquiries. If you are interested in our services, please contact us for more details.

For Research Use Only. Not For Clinical Use

Supports

Formulation Science Background of Liposome Research Highlights
Resources Technical Supports Featured Services Knowledge Center
Optimizing LNP Molar Ratios for Transfection Efficiency
Scalability Challenges in mRNA-LNP Manufacturing
Beyond mRNA: LNP Delivery for CRISPR/Cas9
Cationic Lipids Evolution: DOTAP to Ionizable Lipids
LNP Storage Stability: Lyophilization vs. Liquid
Modulating LNP Biodistribution: Overcoming Liver Accumulation
Active vs. Passive Targeting (EPR): A Guide to Tumor Drug Delivery
Immunoliposomes: Comparing Pre-insertion vs. Post-insertion Techniques
Crossing the BBB: Advances in Transferrin and Peptide-Modified Liposomes
pH-Responsive Liposomes for Tumor Microenvironment
Thermosensitive Liposomes combined with HIFU
Aptamer-Modified Liposomes: A Cost-Effective Antibody Alternative
Ethosomes vs Transfersomes for Dermal Delivery
Strategies for Encapsulating Poorly Water-Soluble Small Molecules in Liposomes
Multivesicular Liposomes: The Architecture of Sustained Release
Mechanisms of Liposomal Adjuvants in Enhancing Vaccine Immune Response
Protecting Enzymatic Activity: Liposomal Encapsulation Strategies for Enzymes
Cryo-TEM vs. DLS: Interpreting Discrepancies in Liposome Particle Size Data
Validating In Vitro Release Methods: Dialysis vs. Sample Separation Techniques
Predicting Long-Term Stability of Liposomal Suspensions using Zeta Potential
Troubleshooting Low Liposome Encapsulation Efficiency
Application of Multi-omics Analysis in Liposome Toxicology Assessment
The Ultimate Guide to Liposome Preparation
Fluorescent Liposomes for Cellular Uptake: Labeling, Controls, and Troubleshooting
How to Design Stealth Liposomes for Long Circulation
Homemade vs. Commercial Kits: Why Standardization Matters in Liposome Research

Online Inquiry