Creative Biolabs-Lipid Based Drug Delivery

Lipid-based Delivery Science

At Creative Biolabs, we are at the forefront of lipid-based drug delivery systems, leveraging cutting-edge research and development to create innovative solutions for targeted and efficient drug delivery. Our comprehensive understanding of lipid-based systems allows us to optimize formulations for enhanced stability, bioavailability, and therapeutic efficacy while minimizing systemic toxicity.

Phospholipid

Phospholipids are fundamental to lipid-based delivery systems, forming the structural basis of liposomes and lipid nanoparticles. Their amphipathic nature allows for the encapsulation and stabilization of hydrophobic and hydrophilic drugs, enhancing delivery efficiency and biocompatibility.

Learn More→

Science-1. (Creative Biolabs Original)

Glycolipids

Glycolipids enhance the targeting capabilities of lipid-based delivery systems through their carbohydrate moieties, which facilitate interactions with cellular receptors. This enables more precise drug delivery and reduces off-target effects, making glycolipids essential for advanced formulations.

Learn More→

Science-2. (Creative Biolabs Original)

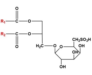
Sulpholipids

Sulpholipids enhance nanocarriers for targeted drug delivery, addressing issues like non-specific biodistribution, high-dose toxicity, and poor barrier penetration.

Learn More→

Science-3. (Creative Biolabs Original)

Lipoproteins

Endogenous lipoproteins are essential for delivering dietary and endogenous lipids to target cells, primarily through interactions with cell membrane receptors or lipoprotein lipase on the cell surface. This mechanism enhances the efficiency of lipid-based delivery systems by improving cellular uptake and reducing systemic toxicity.

Learn More→

Science-4. (Creative Biolabs Original)

Fatty Acid

Liposomes formed from fatty acids are used as cellular models due to their high permeability and biomimetic properties.

Learn More→

Science-5. (Creative Biolabs Original)

Sterols

Sterols, such as cholesterol, play a critical role in modulating membrane fluidity and rigidity. They enhance the stability and biocompatibility of lipid-based delivery systems, ensuring efficient drug encapsulation and delivery.

Learn More→

Science-6. (Creative Biolabs Original)

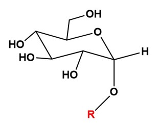
Sphingolipids

Compared to phospholipid-based liposomes, sphingolipids interact more strongly with cholesterol through hydrogen bonds. This interaction enhances liposome stability and prolongs their half-life, making sphingolipids vital for improving the performance of lipid-based delivery systems.

Learn More→

Science-7. (Creative Biolabs Original)

Polymers

Polymers are versatile materials used to enhance the stability and functionality of lipid-based delivery systems. They can be tailored to provide controlled release, improved biocompatibility, and targeted delivery of therapeutic agents.

Learn More→

Science-8. (Creative Biolabs Original)

Our lipid-based delivery systems are designed to leverage the unique properties of these components, ensuring optimal performance and safety. Explore further to discover how these materials drive innovation in drug delivery and biotechnology.

Related Products and Services

We offer a diverse range of ready-to-use products and customization services for liposomes and lipid nanoparticles (LNPs) to meet specific research and therapeutic needs.

We provide the following products and services:

Products Services
Liposomes Liposomal formulation development
Phospholipids LNP delivery system development
Lipids Functionalized Delivery System Development
Kits Formulation Analysis & Characterization
For inquiries about other products and services, please contact us directly.
For Research Use Only. Not For Clinical Use

Supports

Formulation Science Background of Liposome Research Highlights
Resources Technical Supports Featured Services Knowledge Center
Optimizing LNP Molar Ratios for Transfection Efficiency
Scalability Challenges in mRNA-LNP Manufacturing
Beyond mRNA: LNP Delivery for CRISPR/Cas9
Cationic Lipids Evolution: DOTAP to Ionizable Lipids
LNP Storage Stability: Lyophilization vs. Liquid
Modulating LNP Biodistribution: Overcoming Liver Accumulation
Active vs. Passive Targeting (EPR): A Guide to Tumor Drug Delivery
Immunoliposomes: Comparing Pre-insertion vs. Post-insertion Techniques
Crossing the BBB: Advances in Transferrin and Peptide-Modified Liposomes
pH-Responsive Liposomes for Tumor Microenvironment
Thermosensitive Liposomes combined with HIFU
Aptamer-Modified Liposomes: A Cost-Effective Antibody Alternative
Ethosomes vs Transfersomes for Dermal Delivery
Strategies for Encapsulating Poorly Water-Soluble Small Molecules in Liposomes
Multivesicular Liposomes: The Architecture of Sustained Release
Mechanisms of Liposomal Adjuvants in Enhancing Vaccine Immune Response
Protecting Enzymatic Activity: Liposomal Encapsulation Strategies for Enzymes
Cryo-TEM vs. DLS: Interpreting Discrepancies in Liposome Particle Size Data
Validating In Vitro Release Methods: Dialysis vs. Sample Separation Techniques
Predicting Long-Term Stability of Liposomal Suspensions using Zeta Potential
Troubleshooting Low Liposome Encapsulation Efficiency
Application of Multi-omics Analysis in Liposome Toxicology Assessment
The Ultimate Guide to Liposome Preparation
Fluorescent Liposomes for Cellular Uptake: Labeling, Controls, and Troubleshooting
How to Design Stealth Liposomes for Long Circulation
Homemade vs. Commercial Kits: Why Standardization Matters in Liposome Research

Online Inquiry