Carbonic Anhydrase IX (CA9)

All products and services are For Research Use Only and CANNOT be used in the treatment or diagnosis of disease.

Product List Background Anti-CA9 CAR-T Services Anti-CA9 CAR-T In Vitro Assay ServicesAnti-CA9 CAR-T In Vivo Assay Services

Product List

Creative Biolabs provides a variety of off-the-shelf anti-CA9 products and customized services to meet the specific needs of researchers. Throughout the process of CAR-T therapy development, our team provides comprehensive technical support and consultation to ensure the success of your research.

Background

Carbonic anhydrase 9 (CA9/CAIX) is an enzyme that in humans is encoded by the CA9 gene. CAIX is a transmembrane protein and is one of only two tumor-associated carbonic anhydrase isoenzymes known. It is expressed in all clear-cell renal cell carcinoma(ccRCC), but is not detected in normal kidney or most other normal tissues. It may be involved in cell proliferation and transformation. CAIX is also the most widely expressed gene in response to hypoxia. Its crucial role in intracellular pH maintenance represents the means by which cancer cells adapt to the toxic conditions of the extracellular milieu. Furthermore, the activity of CA IX stimulates the migratory pathways of cancer cells and is connected with the increase of the aggressive/invasive phenotype of tumors. CA IX expression in many types of tumors indicates its relevance as a general marker of tumor hypoxia. Moreover, its expression is closely related to the prognosis of the clinical outcome in several tumor types. All above-mentioned facts support the strong position of CA IX as a potential drug therapy target.

Associated Diseases

Clear cell renal cell carcinoma (ccRCC)

Renal cell carcinoma

Anti-CA9 CAR-T Services

Anti-CA9 CAR-T In Vitro Assays

Anti-CA9 CAR-T Expression Test

Creative Biolabs provides state-of-the-art anti-CA9 CAR-T expression tests. We provide CA9 protein products for the evaluation of the anti-CA9 CAR expression on the surface of T cells. Our experts perform flow cytometry, western blotting, and QPCR tests to provide sensitive and specific measurements of CAR mRNA and protein levels.

Fig.1 Western blot analysis and flow cytometry analysis of the expression of anti-CA9 CAR. (Li, et al., 2020)Fig.1 Western blot analysis and flow cytometry analysis of the expression of anti-CA9 CAR.1

Anti-CA9 CAR-T Proliferation Test

The Anti-CA9 CAR-T proliferation test is an essential tool for evaluating the potential of CAR-T cells to proliferate and expand in response to specific stimuli. At Creative Biolabs, we offer comprehensive CAR proliferation assay services to ensure that our CAR-modified immune cells possess the desired proliferative capacity.

Fig.2 The proliferation curves of sunitinib-treated anti-CA9 CAR-T cells by cell counting. (Gui, et al., 2019)Fig.2 The proliferation curves of sunitinib-treated anti-CA9 CAR-T cells by cell counting.2

Anti-CA9 CAR-T Cytokine Release Test

Our laboratory offers a comprehensive range of cytokine release assays to determine the release of various cytokines, including TNF-α, IFN-γ, IL-2, IL-6, and IL-8. These assays enable researchers to monitor the safety and efficacy of CAR-T cell therapy in preclinical and clinical trials.

Fig.3 IL-2 release by anti-CA9 CAR-T cells with K562 or CA9-K562 stimulation. (Li, et al., 2020)Fig.3 The release of various cytokines.1

Anti-CA9 CAR-T In Vitro Cytotoxicity Assay

We provide cytotoxicity assay services for measuring the rate of target cell death induced by the CA9 CAR-T cells. The test provides valuable information about the cytotoxic potential and specificity of the CA9 CAR-T cells.

Fig.4 In vitro cytotoxicity of anti-CA9 CAR-T against CAIX-transfected U251 cells as measured by LDH release assay. (Gui, et al., 2019)Fig.4 In vitro cytotoxicity of anti-CA9 CAR-T against CAIX-transfected U251 cells as measured by LDH release assay.2

Anti-CA9 CAR-T In Vivo Assays

Efficacy Test of Anti-CA9 CAR-T

Creative Biolabs offers anti-tumor efficacy test services for CA9 CAR-T cells in animal models. Our team ensures that our clients receive accurate and reliable results, allowing them to make informed decisions regarding their CAR-T therapy research.

Fig.5 The therapeutic potential of the anti-CA9 CAR-T cells was assessed in the glioblastoma xenograft mouse model. (Gui, et al., 2019)Fig.5 The therapeutic potential of the anti-CA9 CAR-T cells was assessed in the glioblastoma xenograft mouse model. The anti-CA9 CAR-T cells significantly suppressed tumor growth.2

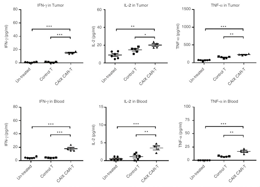
Toxicity Evaluation Anti-CA9 CAR-T

Our CAR-T toxicity study services provide a comprehensive approach to evaluating the safety and potential side effects of anti-CA9 CAR--T cell therapy. Our services include cytokine release analysis, on/off-target toxicologic analysis, and tumorigenicity analysis.

Fig.6 Cytokine secretion in the supernatant of tumor and blood. The cytokines (IFN-γ, TNF-α, and IL-2) were analyzed by ELISA. (Gui, et al., 2019)Fig.6 Cytokine secretion in the supernatant of tumor and blood. The cytokines (IFN-γ, TNF-α, and IL-2) were analyzed by ELISA.2

References

  1. Li, Huizhong, et al. "CAIX-specific CAR-T cells and sunitinib show synergistic effects against metastatic renal cancer models." Journal of Immunotherapy 43.1 (2020): 16-28.
  2. Cui, Jing, et al. "Targeting hypoxia downstream signaling protein, CAIX, for CAR T-cell therapy against glioblastoma." Neuro-oncology 21.11 (2019): 1436-1446.
  • CAR Vector Products

  • CAR Viral Particles

Loading...
  • Target Species:
  • Antibody Clone:
  • Antibody Host:
  • Receptor Construction:
  • Vector Type:
  • Targeting Cell Type:
CAT Product Name Target Species Antibody Clone Antibody Host Receptor Construction Vector Type Targeting Cell Type CAR Vector Type Inquiry & Datasheet
CAR-T-1-M305-2 Anti-CAIX scFv h(CD28) CART, pCDCAR1 Human G250 Mouse scFv-CD28 Lentiviral T cell   Add to Cart   Datasheet
CAR-T-1-M305-G Anti-CAIX scFv h(FcεRIγ) CART, pCDCAR1 Human G250 Mouse scFv-FcεRIγ Lentiviral T cell   Add to Cart   Datasheet
CAR-T-1-M305-Z Anti-CAIX scFv h(CD3ζ) CART, pCDCAR1 Human G250 Mouse scFv-CD3ζ Lentiviral T cell   Add to Cart   Datasheet
CAR-T-2-M305-2G Anti-CAIX scFv h(CD28-FcεRIγ) CART, pCDCAR1 Human G250 Mouse scFv-CD28-FcεRIγ Lentiviral T cell   Add to Cart   Datasheet
CAR-T-2-M305-2Z Anti-CAIX scFv h(CD28-CD3ζ) CART, pCDCAR1 Human G250 Mouse scFv-CD28-CD3ζ Lentiviral T cell   Add to Cart   Datasheet
CAR-T-2-M305-4G Anti-CAIX scFv h(CD4-FcεRIγ) CART, pCDCAR1 Human G250 Mouse scFv-CD4-FcεRIγ Lentiviral T cell   Add to Cart   Datasheet
CAR-T-2-M305-4Z Anti-CAIX scFv h(CD4-CD3ζ) CART, pCDCAR1 Human G250 Mouse scFv-CD4-CD3ζ Lentiviral T cell   Add to Cart   Datasheet
CAR-T-2-M305-8Z Anti-CAIX scFv h(CD8-CD3ζ) CART, pCDCAR1 Human G250 Mouse scFv-CD8-CD3ζ Lentiviral T cell   Add to Cart   Datasheet
CAR-T-2-M305-BZ Anti-CAIX scFv h(41BB-CD3ζ) CART, pCDCAR1 Human G250 Mouse scFv-41BB-CD3ζ Lentiviral T cell   Add to Cart   Datasheet
CAR-T-2-M305-CZ Anti-CAIX scFv h(b2c-CD3ζ) CART, pCDCAR1 Human G250 Mouse scFv-b2c-CD3ζ Lentiviral T cell   Add to Cart   Datasheet
CAR-T-3-M305-2BZ Anti-CAIX scFv h(CD28-41BB-CD3ζ) CART, pCDCAR1 Human G250 Mouse scFv-CD28-41BB-CD3ζ Lentiviral T cell   Add to Cart   Datasheet
CAR-T-3-M305-2XZ Anti-CAIX scFv h(CD28-OX40-CD3ζ) CART, pCDCAR1 Human G250 Mouse scFv-CD28-OX40-CD3ζ Lentiviral T cell   Add to Cart   Datasheet
CAR-T-2-L404-BZ G250 h(41BB-CD3ζ) CAR, [T] Human Humanized scFv-41BB-CD3ζ Lentiviral T cell   Add to Cart   Datasheet
CAR-T-2-L404-CZ G250 h(b2c-CD3ζ) CAR, [T] Human Humanized scFv-b2c-CD3ζ Lentiviral T cell   Add to Cart   Datasheet
CAR-T-3-L404-2BZ G250 h(CD28-41BB-CD3ζ) CAR, [T] Human Humanized scFv-CD28-41BB-CD3ζ Lentiviral T cell   Add to Cart   Datasheet
CAR-T-2-L404-2Z G250 h(CD28-CD3ζ) CAR, [T] Human Humanized scFv-CD28-CD3ζ Lentiviral T cell   Add to Cart   Datasheet
CAR-T-2-L404-2G G250 h(CD28-FcεRIγ) CAR, [T] Human Humanized scFv-CD28-FcεRIγ Lentiviral T cell   Add to Cart   Datasheet
CAR-T-3-L404-2XZ G250 h(CD28-OX40-CD3ζ) CAR, [T] Human Humanized scFv-CD28-OX40-CD3ζ Lentiviral T cell   Add to Cart   Datasheet
CAR-T-1-L404-Z G250 h(CD3ζ) CAR, [T] Human Humanized scFv-CD3ζ Lentiviral T cell   Add to Cart   Datasheet
CAR-T-2-L404-4Z G250 h(CD4-CD3ζ) CAR, [T] Human Humanized scFv-CD4-CD3ζ Lentiviral T cell   Add to Cart   Datasheet
Unable to find the desired product? Explore the Filter Options at the top of the list.
Key Updates
Newsletter. (Creative Biolabs Authorized) NEWSLETTER

The latest newsletter to introduce the latest breaking information, our site updates, field and other scientific news, important events, and insights from industry leaders

LEARN MORE NEWSLETTER
New Solution. (Creative Biolabs Authorized) NEW SOLUTION

CellRapeutics™ In Vivo Cell Engineering: One-stop in vivo T/B/NK cell and macrophage engineering services covering vectors construction to function verification.

LEARN MORE SOLUTION
Novel Solution. (Creative Biolabs Authorized) NOVEL TECHNOLOGY

Silence™ CAR-T Cell: A novel platform to enhance CAR-T cell immunotherapy by combining RNAi technology to suppress genes that may impede CAR functionality.

LEARN MORE NOVEL TECHNOLOGY
New Technology. (Creative Biolabs Authorized) NEW SOLUTION

Canine CAR-T Therapy Development: From early target discovery, CAR design and construction, cell culture, and transfection, to in vitro and in vivo function validation.

LEARN MORE SOLUTION
Receive our latest news and insights.