5T4

All products and services are For Research Use Only and CANNOT be used in the treatment or diagnosis of disease.

Product List Background Anti-5T4 CAR-T Services Anti-5T4 CAR-T In Vitro Assay ServicesAnti-5T4 CAR-T In Vivo Assay Services

Product List

We provide a comprehensive range of 5T4-CAR related products, such as CAR vector, virus lentivirus, CAR cells. anti-5T4 vectors, cells, and viral particles. Our team will provide specific solutions according to the various needs of every customer, please do not hesitate to contact us.

Background

5T4, known as ganglioside G2, is expressed in a variety of cancers of neuroectodermal origin, such as neuroblastoma, and melanoma, while the expression in normal tissues is highly restricted. Meanwhile, several studies have shown that 5T4 is closely involved in tumor progression and metastasis and is a significant marker of poor prognosis in many cancers. With these characteristics, 5T4 has become a promising target for CART therapy of cancers.

Associated Diseases

  • Renal Cell Carcinoma
  • Ovarian cancer
  • Solid tumor
  • Others

Anti-5T4 CAR-T Services

Anti-5T4 CAR-T In Vitro Assays

Anti-5T4 CAR-T Expression Test

Creative Biolabs has developed a variety of CAR expression detection tools to test the CAR expression level to evaluate transfection of specific CAR, including CAR detection reagents, and antigen-overexpressed cell lines. Meanwhile, we also provide diverse sensitive CAR expression test services to accelerate the CART development, including but not limited to flow cytometry, western blotting, QPCR, etc.

Fig.1 Flow cytometry analysis of anti-5T4-CAR on transduced T cells. (Guo, et al., 2020)Fig.1 Flow cytometry analysis of anti-5T4-CAR on transduced T cells.1

Phenotype Analysis of Anti-5T4 CAR-T

To characterize the relevant functions of CAR-T cells with/without tumor target cell co-culture, such as expansion, activation, and exhaustion activity, Creative Biolabs is committed to providing a wide range of detection markers to test the capabilities of CART cells.

Fig.2 Phenotypic evaluation of anti-5T4 CAR T cells by FCM analysis. (Guo, et al., 2020)Fig.2 Phenotypic evaluation of anti-5T4 CAR T cells by FCM analysis.1

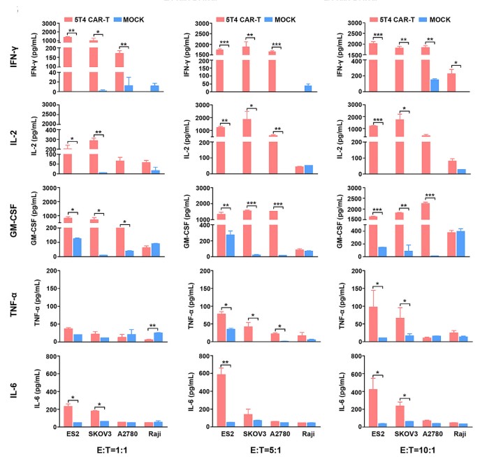
Anti-5T4 CAR-T Cytokine Release Test

To test the cytokine-releasing level of CART cells incubated with tumor cells, we provide a comprehensive array of cytokine tests, including but not limited to TNF-α, IFN-γ, IL-2, IL-6, and GM-CSF. Many techniques are available at Creative Biolabs for cytokine detection, such as ELISA, multiplex cytokine array, ELISPOT, and intracellularly cytokine staining by FACS.

Fig.3 ELISA analysis of cytokine release (IFN-γ, TNF-α, IL-2, IL-6, and GM-CSF) in 5T4 CAR-T cells co-cultured with 5T4+ tumor cells at indicated E:T ratios. (Guo, et al., 2020)Fig.3 ELISA analysis of cytokine release (IFN-γ, TNF-α, IL-2, IL-6, and GM-CSF) in 5T4 CAR-T cells co-cultured with 5T4+ tumor cells at indicated E:T ratios.1

Anti-5T4 CAR-T In Vitro Cytotoxicity Assay

To verify the antigen-specificity and cytotoxicity activity, Creative Biolabs offers sensitive in vitro cytotoxicity assays to evaluate the efficiency of anti-5T4 CAR-T cells in targeting and eliminating 5T4+ cancer cells.

Fig.4 In vitro cytotoxicity activities test of anti-5T4 CAR-T cells against different 5T4+ ovarian cancer cell lines at varying E/T ratios. (Guo, et al., 2020)Fig.4 In vitro cytotoxicity activities test of anti-5T4 CAR-T cells against different 5T4+ ovarian cancer cell lines at varying E/T ratios.1

Anti-5T4 CAR-T In Vivo Assays

Anti-5T4 CAR-T Cell Therapy Animal Models

With our years of experience in CART development, we have established many animal models, such as xenograft, humanized, syngeneic, and transgenic models for CART in vivo assay. We offer suitable animal experimental designs for global customers to test the efficacy and feasibility of CART cells against tumor target cells.

Efficacy Test of Anti-5T4 CAR-T

To assess the efficacy of 5T4 CAR-T cells, Creative Biolabs provides comprehensive in vivo assay service, including but not limited to model bioluminescence imaging, tumor volume measurement, and model survival analysis.

Fig.5 In vivo efficacy test of anti-5T4 CAR-T in peritoneal SKOV3 CDX model. (Guo, et al., 2020)Fig.5 In vivo efficacy test of anti-5T4 CAR-T in peritoneal SKOV3 CDX model. (A) Bioluminescence imaging of SKOV3 CDX model treated with 5T4 CAR T cells. (B) Body weight measurement of SKOV3 CDX model after the treatment with 5T4 CAR-T cells. (B) Body weight curve of mice. (C) The overall survival analysis of SKOV3 CDX model treated with 5T4 CAR-T cells.1

Toxicity Evaluation Anti-5T4 CAR-T

To assess potential side effects of CART cell therapy, we offer extensive toxicity evaluation services to monitor possible responses, such as off-target toxicity studies, and in vivo tissue phenotype analysis.

Reference

  1. Guo, Cuiyu, et al. "Effective antitumor activity of 5T4‐specific CAR‐T cells against ovarian cancer cells in vitro and xenotransplanted tumors in vivo." MedComm 1.3 (2020): 338-350.
  • CAR Vector Products

  • AbTCR Vector Products

  • CAR Cell Products

  • CAR Viral Particles

  • CAR mRNA

Loading...
  • Target Species:
  • Antibody Clone:
  • Antibody Host:
  • Receptor Construction:
  • Vector Type:
  • Targeting Cell Type:
  • CAR Vector Type:
CAT Product Name Target Species Antibody Clone Antibody Host Receptor Construction Vector Type Targeting Cell Type CAR Vector Type Inquiry & Datasheet
XS-0822-YF895 Anti-Human 5T4 (XW-895) h(41BB-CD3ζ) CAR IVT Plasmid, pCARIVT Human XW-895 Mouse scFv-41BB-CD3ζ In Vitro Transcription (IVT) Vector   Add to Cart   Datasheet
XS-0822-YF896 Anti-Human 5T4 (XW-896) h(41BB-CD3ζ) CAR IVT Plasmid, pCARIVT Human XW-896 Mouse scFv-41BB-CD3ζ In Vitro Transcription (IVT) Vector   Add to Cart   Datasheet
XS-0822-YF897 Anti-Human 5T4 (XW-897) h(41BB-CD3ζ) CAR IVT Plasmid, pCARIVT Human XW-897 Mouse scFv-41BB-CD3ζ In Vitro Transcription (IVT) Vector   Add to Cart   Datasheet
XS-0822-YF1815 Anti-Human 5T4 (XW-895) h(CD28-CD3ζ) CAR IVT Plasmid, pCARIVT Human XW-895 Mouse scFv-CD28-CD3ζ In Vitro Transcription (IVT) Vector   Add to Cart   Datasheet
XS-0822-YF1816 Anti-Human 5T4 (XW-896) h(CD28-CD3ζ) CAR IVT Plasmid, pCARIVT Human XW-896 Mouse scFv-CD28-CD3ζ In Vitro Transcription (IVT) Vector   Add to Cart   Datasheet
XS-0822-YF1817 Anti-Human 5T4 (XW-897) h(CD28-CD3ζ) CAR IVT Plasmid, pCARIVT Human XW-897 Mouse scFv-CD28-CD3ζ In Vitro Transcription (IVT) Vector   Add to Cart   Datasheet
XS-0822-YF2735 Anti-Human 5T4 (XW-895) h(CD28-41BB-CD3ζ) CAR IVT Plasmid, pCARIVT Human XW-895 Mouse scFv-CD28-41BB-CD3ζ In Vitro Transcription (IVT) Vector   Add to Cart   Datasheet
XS-0822-YF2736 Anti-Human 5T4 (XW-896) h(CD28-41BB-CD3ζ) CAR IVT Plasmid, pCARIVT Human XW-896 Mouse scFv-CD28-41BB-CD3ζ In Vitro Transcription (IVT) Vector   Add to Cart   Datasheet
XS-0822-YF2737 Anti-Human 5T4 (XW-897) h(CD28-41BB-CD3ζ) CAR IVT Plasmid, pCARIVT Human XW-897 Mouse scFv-CD28-41BB-CD3ζ In Vitro Transcription (IVT) Vector   Add to Cart   Datasheet
XS-0922-ZP50 Anti-5T4 (847) h(41BB-CD3ζ) CAR, pCDCAR1 Human, cynomolgus monkeys 847 Chimeric scFv-41BB-CD3ζ Lentiviral vector T cell   Add to Cart   Datasheet
XS-0922-ZP51 Anti-5T4 (848) h(41BB-CD3ζ) CAR, pCDCAR1 Human, cynomolgus monkeys 848 Chimeric scFv-41BB-CD3ζ Lentiviral vector T cell   Add to Cart   Datasheet
XS-0922-ZP52 Anti-5T4 (849) h(41BB-CD3ζ) CAR, pCDCAR1 Human, cynomolgus monkeys 849 Chimeric scFv-41BB-CD3ζ Lentiviral vector T cell   Add to Cart   Datasheet
XS-0922-ZP53 Anti-5T4 (868) h(41BB-CD3ζ) CAR, pCDCAR1 Human, cynomolgus monkeys 868 Chimeric scFv-41BB-CD3ζ Lentiviral vector T cell   Add to Cart   Datasheet
XS-0922-ZP54 Anti-5T4 (899) h(41BB-CD3ζ) CAR, pCDCAR1 Human, cynomolgus monkeys 899 Chimeric scFv-41BB-CD3ζ Lentiviral vector T cell   Add to Cart   Datasheet
XS-0922-ZP55 Anti-5T4 (908) h(41BB-CD3ζ) CAR, pCDCAR1 Human, cynomolgus monkeys 908 Chimeric scFv-41BB-CD3ζ Lentiviral vector T cell   Add to Cart   Datasheet
XS-0922-ZP56 Anti-5T4 (789a) h(41BB-CD3ζ) CAR, pCDCAR1 Human, cynomolgus monkeys 789a Humanized scFv-41BB-CD3ζ Lentiviral vector T cell   Add to Cart   Datasheet
XS-0922-ZP57 Anti-5T4 (789b) h(41BB-CD3ζ) CAR, pCDCAR1 Human, cynomolgus monkeys 789b Humanized scFv-41BB-CD3ζ Lentiviral vector T cell   Add to Cart   Datasheet
XS-0922-ZP58 Anti-5T4 (789c) h(41BB-CD3ζ) CAR, pCDCAR1 Human, cynomolgus monkeys 789c Humanized scFv-41BB-CD3ζ Lentiviral vector T cell   Add to Cart   Datasheet
XS-0922-ZP59 Anti-5T4 (789d) h(41BB-CD3ζ) CAR, pCDCAR1 Human, cynomolgus monkeys 789d Humanized scFv-41BB-CD3ζ Lentiviral vector T cell   Add to Cart   Datasheet
XS-0922-ZP60 Anti-5T4 (833a) h(41BB-CD3ζ) CAR, pCDCAR1 Human, cynomolgus monkeys 833a Humanized scFv-41BB-CD3ζ Lentiviral vector T cell   Add to Cart   Datasheet
Unable to find the desired product? Explore the Filter Options at the top of the list.
Key Updates
Newsletter. (Creative Biolabs Authorized) NEWSLETTER

The latest newsletter to introduce the latest breaking information, our site updates, field and other scientific news, important events, and insights from industry leaders

LEARN MORE NEWSLETTER
New Solution. (Creative Biolabs Authorized) NEW SOLUTION

CellRapeutics™ In Vivo Cell Engineering: One-stop in vivo T/B/NK cell and macrophage engineering services covering vectors construction to function verification.

LEARN MORE SOLUTION
Novel Solution. (Creative Biolabs Authorized) NOVEL TECHNOLOGY

Silence™ CAR-T Cell: A novel platform to enhance CAR-T cell immunotherapy by combining RNAi technology to suppress genes that may impede CAR functionality.

LEARN MORE NOVEL TECHNOLOGY
New Technology. (Creative Biolabs Authorized) NEW SOLUTION

Canine CAR-T Therapy Development: From early target discovery, CAR design and construction, cell culture, and transfection, to in vitro and in vivo function validation.

LEARN MORE SOLUTION
Receive our latest news and insights.