Creative Biolabs-Lipid Based Drug Delivery

Fungal Sterols

Introduction Ergosterol Lanosterol

Fungal sterols, such as ergosterol and lanosterol, are essential components of fungal cell membranes, playing an irreplaceable role in maintaining the structure and function of the cell membrane. Creative Biolabs focuses on addressing challenges in drug delivery, with fungal sterol liposomes being one of our specialized research areas.

Fungal Sterols as Substitutes for Cholesterol in Liposomes

Cholesterol, a derivative of perhydrocyclopentanophenanthrene, is an important component of animal cell membranes. To improve membrane stability in liposomes, cholesterol is frequently utilized as a membrane structure modulator because of its capacity to decrease the fluidity of phospholipid bilayers. However, high cholesterol utilization can raise the risk of atherosclerosis, coronary heart disease, and other cardiovascular diseases.

Fungal sterols, structurally similar to cholesterol, are believed to modulate cell membranes like cholesterol, exerting anti-inflammatory, antimicrobial, immunomodulatory, and cholesterol-lowering effects. Substituting fungal sterols for cholesterol in liposomes can not only reduce the health risks associated with cholesterol but also confer therapeutic properties to the liposomes themselves. Furthermore, encapsulating drugs within fungal sterol-containing liposomes may result in a synergistic interaction between the drugs and fungal sterols, potentially improving the therapeutic efficacy of the original liposomes (without fungal sterols). Fungal sterols have already replaced cholesterol and are widely employed in the development of liposomes used in pharmaceuticals, cosmetics, and related fields.

Ergosterol

The most abundant sterol in fungal cell membranes, such as those of yeast and mushrooms, is ergosterol, which is essential for preserving membrane fluidity, integrity, and cellular viability. It has a similar structure to sterols like cholesterol, but its ring structure has two double bonds, whereas cholesterol and other sterols only have one. Liposomes containing ergosterol have higher stability than conventional liposomes, which protects drugs from degradation in the gastrointestinal system. This impact is affected by the amount of ergosterol present, and Creative Biolabs will help you locate the best ergosterol content to advance your research.

Fig.1 Schematic representation of ergosterol.

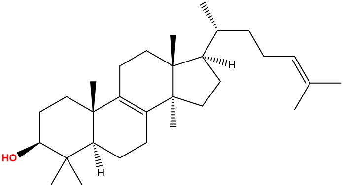
Lanosterol

Lanosterol is also a primary sterol present in fungal cell membranes. Substituting it for cholesterol in liposomes provides properties similar to cholesterol without the associated health risks of cholesterol.

Fig.2 Schematic representation of lanosterol.

The pharmacological activities of fungal sterols and their subtle structural differences impart new properties to liposomes, making the substitution of cholesterol with fungal sterols both feasible and advantageous. Creative Biolabs continues to explore innovative solutions, offering high-quality development services for fungal sterol liposomes. To deepen your understanding of fungal sterol liposomes, our formulation analysis and characterization service provides comprehensive insights into their morphology, particle size, PDI, Zeta potential, and more. If you are interested in learning about our fungal sterol liposome development process and other detailed information, please do not hesitate to contact us immediately.

For Research Use Only. Not For Clinical Use

Supports

Formulation Science Background of Liposome Research Highlights
Resources Technical Supports Featured Services Knowledge Center
Optimizing LNP Molar Ratios for Transfection Efficiency
Scalability Challenges in mRNA-LNP Manufacturing
Beyond mRNA: LNP Delivery for CRISPR/Cas9
Cationic Lipids Evolution: DOTAP to Ionizable Lipids
LNP Storage Stability: Lyophilization vs. Liquid
Modulating LNP Biodistribution: Overcoming Liver Accumulation
Active vs. Passive Targeting (EPR): A Guide to Tumor Drug Delivery
Immunoliposomes: Comparing Pre-insertion vs. Post-insertion Techniques
Crossing the BBB: Advances in Transferrin and Peptide-Modified Liposomes
pH-Responsive Liposomes for Tumor Microenvironment
Thermosensitive Liposomes combined with HIFU
Aptamer-Modified Liposomes: A Cost-Effective Antibody Alternative
Ethosomes vs Transfersomes for Dermal Delivery
Strategies for Encapsulating Poorly Water-Soluble Small Molecules in Liposomes
Multivesicular Liposomes: The Architecture of Sustained Release
Mechanisms of Liposomal Adjuvants in Enhancing Vaccine Immune Response
Protecting Enzymatic Activity: Liposomal Encapsulation Strategies for Enzymes
Cryo-TEM vs. DLS: Interpreting Discrepancies in Liposome Particle Size Data
Validating In Vitro Release Methods: Dialysis vs. Sample Separation Techniques
Predicting Long-Term Stability of Liposomal Suspensions using Zeta Potential
Troubleshooting Low Liposome Encapsulation Efficiency
Application of Multi-omics Analysis in Liposome Toxicology Assessment
The Ultimate Guide to Liposome Preparation
Fluorescent Liposomes for Cellular Uptake: Labeling, Controls, and Troubleshooting
How to Design Stealth Liposomes for Long Circulation
Homemade vs. Commercial Kits: Why Standardization Matters in Liposome Research

Online Inquiry