Creative Biolabs-Lipid Based Drug Delivery

Glucose-responsive Liposome Development Service

Background Glucose-responsive Liposome Mechanisms Application Advantages

Discover the cutting-edge in targeted drug delivery with Creative Biolabs' glucose-responsive liposome. As pioneers in the field of stimuli-responsive liposome, our revolutionary technology promises intelligent drug delivery tailored to glucose levels. Engineered with precision, these advanced systems offer a dynamic response to fluctuating glucose concentrations, ensuring optimal therapeutic outcomes with minimal side effects.

Background

Diabetes is characterized by elevated blood glucose levels, which typically necessitates precise insulin delivery to maintain glucose levels within the normal range. The pursuit of precision medicine has spurred the development of glucose-responsive insulin delivery systems, such as liposomes, microspheres, hydrogels and micelles. These systems, which incorporate glucose-responsive elements, can detect changes in glucose concentration as well as indirect signals like pH, H+ concentration, and O2 levels, among others. These systems then adjust their physical or chemical properties to release insulin through mechanisms including expansion/contraction, dissolution, changes in pore size, charge reversal, and polymer degradation.

What is Glucose-responsive Liposome?

Liposomes excel as drug carriers due to their biocompatibility, high encapsulation efficiency, adjustable release kinetics, and diverse administration routes. By integrating glucose-responsive elements into liposomes, we can develop glucose-responsive liposome that leverage both the glucose reactivity and the inherent benefits of liposomes. These advanced systems can alter their chemical or physical structure in response to glucose concentration shifts, undergo disassembly or degradation, all of which facilitate precise drug release.

Mechanisms of Drug Delivery in Glucose-responsive Liposome

Depending on the type of glucose-responsive element, glucose-responsive liposome can be developed for intelligent drug delivery.

  • Glucose-responsive liposome based on glucose oxidase (GOx): GOx is the most extensively utilized enzyme in glucose-responsive systems. GOx catalyzes the oxidation of glucose to gluconic acid, consuming oxygen and generating hydrogen peroxide, which lowers the surrounding pH and causes the liposome membrane to contract. By modifying GOx with palmitic acid to enhance its hydrophobicity and incorporating it into liposomes, we can develop liposomes with heightened sensitivity to glucose levels.

Graphic example of the glucose oxidase-catalyzed oxidation of glucose.Fig.1 Schematic diagram of GOx catalyzed glucose oxidation.1

  • Glucose-responsive liposome based on glucose binding protein (GBP): GBPs respond to glucose concentration changes through a non-covalent, competitive binding mechanism. The most widely studied GBP is concanavalin A (Con A).

Schematic diagram of Con A in response to glucose.Fig.2 Schematic diagram of Con A's response to glucose.1

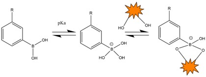
  • Glucose-responsive liposome based on phenylboronic acid (PBA): PBA and its derivatives maintain a dissociation equilibrium in aqueous solutions (pKa = 9). At lower pH levels, PBA is predominantly uncharged and hydrophobic, adopting a planar, triangular configuration. Above PBA's pKa, PBA becomes negatively charged and hydrophilic, taking on a tetrahedral shape. There is a dynamic equilibrium between these two forms, with only the charged, hydrophilic tetrahedral PBA forming stable phenyl borate with cis-diols, such as glucose, shifting the equilibrium towards the charged and hydrophilic state.

Schematic diagram of the combination of PBA structure and adjacent diol structures.Fig.3 Schematic diagram of PBA combined with adjacent diols.1

Compared to protein-based liposomes, PBA does not elicit an immune response and offers excellent stability and long-term storability.

Classification of glucose-responsive compounds
Property GOx Con A PBA
Source Natural proteins Natural proteins Chemical synthesis
Molecular weight 130-186 kDa 25.5 kDa 100-1000 Da
Mechanism Enzymatic oxidation of glucose by GOx Competitive binding of ConA to glucose Reversible covalent bond formation between PBA and glucose
Interferents / D-mannose and D-fructose D-fructose, D-galactose and other 1,2-cis−/1,3-diols

Application of Glucose-responsive Liposome

Glucose-responsive liposome have been extensively utilized in various biomedical applications, such as controlled drug delivery and glucose concentration diagnostics, to detect changes in glucose levels in the surrounding environment and achieve controlled and sustained drug release.

Cancer Treatment: Glucose uptake fuels aerobic glycolysis, providing nutrients and energy necessary for the abnormal proliferation of cancer cells. Glucose-responsive liposome enhance drug delivery and release by targeting the acidic tumor microenvironment and leveraging the high glucose levels in cancerous regions, thereby improving the efficacy of cancer therapy.

Artificial Pancreas: Glucose-responsive liposome mimic the function of pancreatic β cells by self-regulating insulin release in response to changes in glucose concentration, effectively controlling blood glucose levels and reducing the risk of hypoglycemia.

Advantages of Glucose-responsive Liposome by Creative Biolabs

  • Targeted and Controlled Release
  • Elevated Stability and Protection
  • Experienced Team
  • Scalable and Cost-Effective Manufacturing

In the pursuit of excellence in glucose-responsive liposome applications, Creative Biolabs' commitment to innovation and quality is unparalleled. Our cutting-edge capabilities and expertise ensure the delivery of top-tier solutions in our advanced glucose-responsive liposome technology. For further information on how our services can empower your projects or to discuss potential collaborations, please do not hesitate to contact us.

Reference

  1. Liu, Junyu, et al. "Recent Advances in the Drugs and Glucose-Responsive Drug Delivery Systems for the Treatment of Diabetes: A Systematic Review." Pharmaceutics 16.10 (2024): 1343. Distributed under Open Access license CC BY 4.0, without modification.
For Research Use Only. Not For Clinical Use

Services

Lipid-based Delivery System Development Formulation Analysis & Characterization Pharmacodynamic Study

Online Inquiry

Close
Thanksgiving
Thanksgiving