Human Liver Cell HepG2-based Proliferation Assay Service
Introduction
The HepG2 cell line, derived from human liver carcinoma, is a pivotal model in oncology research. By utilizing HepG2-based proliferation assays, researchers can elucidate the molecular mechanisms underlying cancer cell proliferation and explore potential therapeutic interventions. At Creative Biolabs, we specialize in comprehensive and cutting-edge HepG2-based proliferation assay solutions, delivering robust data that drive forward the frontier of cancer drug discovery.
HepG2-based Proliferation Assay at Creative Biolabs
By leveraging advanced technologies and robust methodologies, Creative Biolabs offers comprehensive HepG2-based proliferation assays empowering researchers to uncover novel therapeutic targets and develop effective cancer treatments. These assays are tailored to evaluate cell proliferation, quantify cell viability, and assess cytotoxicity, providing invaluable insights into the effectiveness of candidate therapeutics.
Our Comprehensive Proliferation Assay Types
Based on the activity mechanism of cell proliferation, there are a series of methods to conduct cell proliferation experiments by characterizing the relevant indexes in the activity process. Here are some of the relevant experiments we offer, including but not limited to:
-
DNA Content and Synthesis Assays
Techniques like bromodeoxyuridine (BrdU) incorporation are utilized to measure DNA synthesis, indicating cell proliferation. BrdU is incorporated into newly synthesized DNA strands and detected using specific antibodies, providing a snapshot of proliferative activity.
-
Metabolic Activity Assays
This method quantifies metabolic activity as a proxy for cell viability. Common techniques include the MTT assay, which measures the reduction of MTT to formazan by mitochondrial enzymes, indicating viable cells.
-
Featured Luminescence-Based Proliferation Assay
At Creative Biolabs, one of the key assays we emphasize is the luminescence-based proliferation assay. This technique harnesses the power of luminescent signals to measure cellular responses accurately. It allows for high-throughput screening of numerous compounds, providing data on compound-induced apoptosis, changes in metabolic activity, and overall cell health.
Unique Benefits of Our HepG2-based Proliferation Assay
-
High Sensitivity and Precision
Our assays are designed to provide high sensitivity and precision, essential for detecting minute changes in cell proliferation and viability. This ensures an accurate assessment of compound efficacy and cytotoxicity.
Our assays can seamlessly integrate with other cell-based assays, including apoptosis and cytotoxicity assays. This comprehensive approach allows for a holistic understanding of compound effects on cellular health.
-
Compatibility with Various Readouts
Our assays are compatible with multiple readout methods, including luminescence, fluorescence, and phase-contrast imaging. This ensures versatile application across different research needs and experimental setups.
Scientific Backing
|
Summary
|
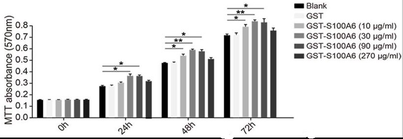
HepG2-based proliferation detection has been used in some cancer drug development studies. Research demonstrated that S100A6 promotes HepG2 cell proliferation by increasing ubiquitin-dependent degradation of the tumor suppressor protein p53, underscoring the importance of HepG2-based assays in uncovering novel therapeutic targets (S100A6 promotes proliferation and migration of HepG2 cells via increased ubiquitin-dependent degradation of p53).
|
|
Result
|

Fig.1. The proliferation detection of HepG2 cells treated with exogenous S100A6.1
|
Frequently Asked Questions
Q1: What makes the HepG2 cell line an ideal model for cancer research?
A1: HepG2 cells mimic many properties of liver cancer, including the expression of hepatic enzymes and cell surface markers. This makes them an excellent model for studying the effects of anticancer drugs.
Q2: What makes luminescence-based assays particularly effective?
A2: Luminescence-based assays are preferred for their high sensitivity and dynamic range. They provide quantitative data that precisely reflect cellular metabolic activity following compound treatment, making them suitable for high-throughput screening.
By leveraging Creative Biolabs' expertise and comprehensive HepG2-based proliferation assays, researchers can gain nuanced insights into cancer therapeutics' mechanistic effects on cell proliferation and viability. Our high-throughput, sensitive, and versatile assays are essential tools for advancing oncology research and developing next-generation cancer treatments.
Reference
-
Song, Dongqiang, et al. "S100A6 promotes proliferation and migration of HepG2 cells via increased ubiquitin-dependent degradation of p53." Open Medicine 15.1 (2020): 317-326. Distributed under Open Access License CC BY 4.0, without modification.
For Research Use Only | Not For Clinical Use