0
Inquiry Basket

There is no product in the shopping cart, buy it!

Fructooligosaccharides

Jump to Section

Online Inquiry

Introduction

Fructooligosaccharides (FOS) represent an outstanding type of oligosaccharide. Short fructose chains form FOS which are connected by β-(2→1) glycosidic bonds while a glucose molecule serves as the non-reducing end. This discovery was made by Rose in 1804 but their story extends back over 150 years. The commercial introduction of FOS occurred in the 1980s through the efforts of Meiji Seika Kaisha in Japan. The extraction from chicory roots expanded rapidly due to their high usefulness as functional food components similar to oligofructose and short-chain fructooligosaccharides. By 1990, the FOS market had grown to over 4,000 metric tons, finding their way into all sorts of food and health products. These days, FOS are getting a ton of attention because of their prebiotic properties, making them super valuable in the food, agriculture, and pharma industries. And here at Creative Biolabs, we've got you covered with all kinds of oligosaccharide-related services. Whether you need to analyze FOS or other oligosaccharides, or even want custom oligosaccharide synthesis, we've got the expertise and top-notch technology to meet your needs. Check out our custom oligosaccharide synthesis services and oligosaccharides analysis service for more details!

Structure of Fructooligosaccharides

FOS are composed of fructose unit chains, ending with a glucose unit. The chain length can vary, usually ranging from 2 to 60 fructose units. The unique β-(2→1) linkage is what makes them resistant to human digestive enzymes, as our typical digestive system can't break it down.

Fig.1 Understanding the Structure of Short-Chain Fructooligosaccharides.Fig.1 Structure of the short-chain fructooligosaccharides.1

Types of Fructooligosaccharides

FOS can be split into short-chain and long-chain types. Short-chain FOS are especially interesting because they have higher prebiotic potential. These oligosaccharides are usually made from sucrose through enzymatic or microbial processes, often using fructosyltransferase enzymes.

  • Kestose (GF₂): A trisaccharide with one glucose and two fructose units.
  • Nystose (GF₃): A tetrasaccharide with three fructose units.
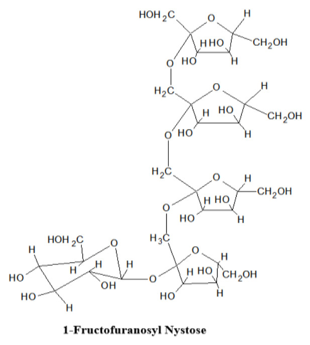
  • Fructofuranosyl Nystose (GF₄): A pentasaccharide chain.

Properties of Fructooligosaccharides

Fructooligosaccharides have some pretty great properties that make them awesome for health and useful in the food industry:

  • High Solubility: Easily integrates into beverages and dairy products without altering texture.
  • Low Caloric Value: Provides ~1.5 kcal/g, ideal for sugar-free formulations.
  • Thermal Stability: Retains functionality under heat or freezing, enabling use in baked goods and frozen foods.
  • Prebiotic Activity: Enhances Bifidobacteria growth, suppresses pathogens, and promotes SCFA production.

Sources of Different Oligosaccharides

Oligosaccharides come from many natural sources, and each type has its own unique plant origins and molecular structures. Here's a comparison of some common oligosaccharides, including FOS:

Oligosaccharide Type Plant Sources FOS Content Key Applications & Characteristics
Fructooligosaccharides (FOS) Cichorium intybus (Chicory), Helianthus tuberosus (Jerusalem artichoke), Asparagus officinalis (Asparagus), Allium cepa (Onion) 0.5%-0.75% Known for prebiotic properties, boosts Bifidobacteria growth, widely used in functional foods
Galactooligosaccharides (GOS) Lactating Mammals (Human and Cow Milk), Soybeans, Aloe Vera 0.05%-0.1% Essential for infant nutrition, helps develop a healthy gut microbiota
Xylooligosaccharides (XOS) Bamboo Shoots, Rice Husk, Corn Cob 0.1%-0.3% Good for gut health, maintains microbiota balance and digestive function
Isomaltooligosaccharides (IMO) Honey, Soy Sauce, Wheat Starch 0.3%-1.5% Low-calorie sweetener with prebiotic effects, supports beneficial bacteria growth in the gut

Techniques Used for Analysis of Fructooligosaccharides

Analyzing FOS needs precise techniques to figure out their purity, composition, and functionality. Here are some commonly used methods:

Technique Description Application
High-Performance Liquid Chromatography (HPLC) Widely used to separate and quantify FOS based on their degree of polymerization (DP). Refractive index detectors are often used on polar-bonded phases and resin-based columns. Separate FOS by chain length and DP; assess purity
Thin-Layer Chromatography (TLC) A qualitative method. It uses a stationary phase to separate FOS based on polarity. Oligosaccharides are then made visible with specific reagents like phenol-sulfuric acid. Identify FOS components in plant extracts or food products
Enzymatic Assay FOS is broken down by enzymes like inulinase, which turns inulin-type FOS into monosaccharides. This allows for quantifying the FOS concentration. Measure FOS in food matrices; good for complex mixtures
Mass Spectrometry (MS) Used to find out the molecular weight and structure of oligosaccharides. Often combined with other methods like HPLC for detailed molecular analysis of FOS components. Identify specific FOS structures; determine FOS mixture composition
Gas Chromatography (GC) Usually used with derivatization techniques to analyze monosaccharides from FOS hydrolysis. Helps analyze smaller fragments after enzymatic hydrolysis. Analyze monosaccharide composition after hydrolysis; identify sugars from FOS
Capillary Electrophoresis (CE) Uses an electric field to separate charged molecules by size and charge. Great for resolving different FOS types, especially in complex samples. High-resolution separation of FOS; identify and quantify minor FOS components
Nuclear Magnetic Resonance (NMR) Spectroscopy Gives detailed information about the chemical structure of oligosaccharides by measuring the interaction of nuclei with a magnetic field. For FOS, it can show glycosidic bond types and monosaccharide units. Elucidate FOS structure; confirm glycosidic linkage and monosaccharide components
Fourier-Transform Infrared Spectroscopy (FTIR) Analyzes functional groups and molecular vibrations in FOS. Can identify groups like hydroxyl, ester, and glycosidic bonds. Identify chemical functional groups in FOS; for quality control in food production
Ion Chromatography (IC) Separates ions based on charge. For FOS analysis, it can be used with conductivity detectors to separate oligosaccharides by ionic properties. Separate and quantify charged oligosaccharides in complex food and beverage samples
Liquid Chromatography-Mass Spectrometry (LC-MS) Combines HPLC and MS for precise identification and quantification of FOS. Great for analyzing FOS in complex mixtures. Advanced structural and compositional analysis of FOS; high sensitivity and specificity
Refractive Index Detection Measures the refractive index change due to FOS in a solution. Often used with chromatography techniques like HPLC for quick quantification. Routinely quantify FOS in food products and dietary supplements; fast and reliable

These techniques, whether used alone or together, make sure FOS are of high quality, pure, and have the right functional properties for different industries.

Fructooligosaccharides are truly amazing oligosaccharides with a wide range of benefits. And remember, if you need any help with oligosaccharides, whether it's analysis or custom synthesis, Creative Biolabs is here for you. Our services are top-notch, with multiple technologies to choose from, targeted customized plans, and great after-sale service. So don't hesitate, contact us today and let us help you with all your oligosaccharide-related needs!

Reference

  1. Kherade, Monika, et al. "Fructooligosaccharides: A comprehensive review." Journal of Ayurvedic and Herbal Medicine 7.3 (2021): 193-200. Distributed under Open Access license CC BY 4.0, without modification. https://doi.org/10.31254/jahm.2021.7305

Related Services

Resources

For Research Use Only.

Online Inquiry
Creative Biolabs-Glycoprotein Contact Us Follow us on
Close
Thanksgiving
Thanksgiving