0
Inquiry Basket

There is no product in the shopping cart, buy it!

Galactooligosaccharides

Jump to Section

Online Inquiry

Galactooligosaccharides (GOS) are non-digestible carbohydrates composed of galactose units linked to a terminal glucose molecule. GOS can be categorized based on their glycosidic linkages:

α-Galactooligosaccharides (α-GOS) Predominantly found in legumes, α-GOS consist of galactose units linked by α-(1→6) bonds to a sucrose molecule.
β-Galactooligosaccharides (β-GOS) Synthesized through the enzymatic transgalactosylation of lactose, β-GOS comprise galactose units linked primarily by β-(1→4) or β-(1→6) bonds, terminating with a glucose unit.

Creative Biolabs understands the rising significance of GOS-related studies within food science, pharmaceuticals, and biotechnology fields. Our extensive glycobiology expertise allows us to deliver a full range of oligosaccharide solutions by offering custom oligosaccharide synthesis together with oligosaccharides analysis that enables researchers and developers to maximize the potential of GOS and other complex carbohydrates.

Structure & Physicochemical Properties of GOS

The structural configuration of GOS dictates their physicochemical properties and functional attributes:

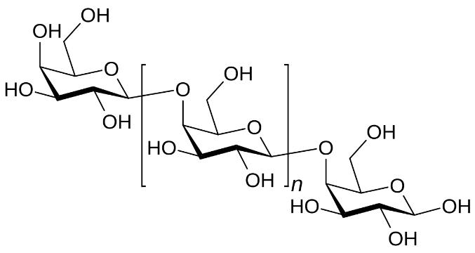
Fig.1 The structure of Galactooligosaccharide.Fig.1 Galactooligosaccharide Structure.Distributed under Public Domain, from Wiki, without modification.

  • Degree of Polymerization (DP): GOS typically exhibit a DP ranging from 2 to 8, with variations affecting solubility and prebiotic efficacy.
  • Glycosidic Linkages: The presence of β-(1→4) and β-(1→6) linkages in β-GOS contributes to their resistance to hydrolysis by human digestive enzymes, enabling them to reach the colon intact and serve as substrates for beneficial microbiota.
  • Water Solubility & pH Stability: GOS are highly soluble in water and demonstrate stability across a broad pH range and elevated temperatures, making them suitable for incorporation into various food products.

Preparation of GOS

A variety of strategies are employed for GOS production, each tailored to specific use cases:

  • Natural Extraction: Isolates α-GOS from legumes; limited by low yield and scalability.
  • Hydrolysis of Polysaccharides: Galactomannans are partially hydrolyzed to form GOS with variable DP.
  • Chemical Synthesis: Highly customizable but labor-intensive and environmentally taxing.
  • Enzymatic Synthesis: The most efficient and widely adopted method, relying on β-galactosidase-mediated lactose transgalactosylation.

Creative Biolabs stands ready as a dependable collaboration partner for those requiring assistance with GOS production process design or optimization. Our glycoengineering services support you throughout the entire product development process for GOS-related products by offering assistance with substrate engineering through enzymatic catalysis.

Service How It Helps Your GOS Project
Therapeutic Protein Glycoengineering Optimize glycosylation in recombinant proteins to incorporate or mimic GOS motifs Inquiry Now
Therapeutic Antibody Glycoengineering Tailor antibody glycoforms for improved bioactivity, including GOS-type glycan decorations Inquiry Now
Cell Line Glycoengineering Engineer host cells for efficient GOS biosynthesis or glycosylated protein production Inquiry Now

Biological Activities of Galactooligosaccharides

GOS possess a diverse portfolio of biological functions, many of which are actively being explored in clinical and preclinical studies.

Modulation of Gut Microbiota

GOS selectively stimulate the growth of Bifidobacteria and Lactobacilli, leading to:

  • Improved gut health
  • Enhanced nutrient absorption
  • Reduced gastrointestinal discomfort

Enhancement of Intestinal Barrier Integrity

Studies show that GOS can:

  • Reduce pathogen adhesion to intestinal epithelial cells (IECs)
  • Promote mucin secretion
  • Strengthen tight junctions, decreasing intestinal permeability

Immunomodulatory Properties

Through interaction with dendritic cells and T-cells, GOS modulate cytokine profiles:

  • Upregulation of anti-inflammatory cytokines (e.g., IL-10)
  • Suppression of pro-inflammatory mediators
  • Enhanced mucosal immunity

Mineral Bioavailability

SCFAs produced during GOS fermentation acidify the colon, enhancing the solubility and uptake of:

  • Calcium
  • Magnesium
  • Iron

Anticarcinogenic Potential

Emerging evidence suggests that GOS may:

  • Reduce the production of carcinogenic metabolites
  • Inhibit cancer-promoting bacterial strains
  • Support a microbiota profile associated with lower colorectal cancer risk

Infant Nutrition Applications

By mimicking human milk oligosaccharides (HMOs), GOS:

  • Foster healthy gut flora in formula-fed infants
  • Reduce infection rates and colic
  • Improve stool quality

Application of Galactooligosaccharides

The versatility of GOS is reflected in their widespread integration into commercial and clinical products:

Application Benefits
Infant Nutrition Added to formula Mimics HMOs, supports immune development
Functional Foods Yogurt, bakery, beverages Enhances gut health and metabolic balance
Dietary Supplements Prebiotics, synbiotics Complements probiotics for digestive health
Pharmaceuticals IBD, IBS, CRC adjuncts Under evaluation for therapeutic benefits

Why Creative Biolabs?

With two decades of expertise, we offer tailored oligosaccharide solutions to accelerate your innovation pipeline. Whether you're just starting out with basic glycan profiling or require advanced synthesis and mapping support, we've got you covered. We're not just offering services—we're providing insight, reliability, and a deep understanding of glycoscience to support your next big discovery. Let's bring your GOS projects to life, with science that speaks your language.

Service How we help?
Custom Oligosaccharide Synthesis Services Design and production of tailored oligosaccharide structures, including GOS
Oligosaccharides Analysis Service Full-spectrum analysis using HPAE-PAD, HPLC, CE, FACE
Glycan Profiling Service Comprehensive glycan composition and structural characterization
Glycomic Profiling Service Global profiling of oligosaccharides across biological systems
Glycosylation Site Mapping Service Precise identification of glycosylation sites on proteins
Glycan Sequencing Service High-resolution sequencing of complex oligosaccharide structures

Galactooligosaccharides stand out as a crucial multifunctional prebiotic class because of their major benefits for digestive health and disease prevention alongside immune system regulation. Creative Biolabs delivers custom glycan synthesis and top-tier glycan analysis services enabling researchers to advance their work and develop oligosaccharide-based innovations. Our expertise serves your research on infant formula development, therapeutic glycoproteins production, and novel prebiotics creation from initial design through final data analysis. You can contact us for professional consultation services and a no-cost evaluation of your project. We'd love to collaborate.

Reference

  1. Mei, Zhaojun, Jiaqin Yuan, and Dandan Li. "Biological activity of galacto-oligosaccharides: A review." Frontiers in Microbiology 13 (2022): 993052. Distributed under Open Access license CC BY 4.0, without modification. https://doi.org/10.3389/fmicb.2022.993052

Related Services

Resources

For Research Use Only.

Online Inquiry
Creative Biolabs-Glycoprotein Contact Us Follow us on
Close
Thanksgiving
Thanksgiving