0
Inquiry Basket

There is no product in the shopping cart, buy it!

Volatile Fatty Acid (VFA) Profiling Service

Accelerated Research: Trust Our Detailed VFA Analysis

VFA is produced during the degradation of organic matter in anaerobic environments and is an important parameter for assessing Anaerobic Digestion. Analysis of volatile fatty acids is an invaluable tool for understanding microbial activity and optimizing anaerobic digestion parameters. Creative Biolabs provides a quality VFA analysis service with efficient analytical tools. We are happy to work with you to help you with your anaerobic digestion research.

Fig.1 Process for analyzing VFAs. (Creative Biolabs Original)Fig.1 Highly efficient analysis of VFAs.

VFA analysis process

VFAs are intermediate products of anaerobic digestion, such as acetic acid, isobutyric acid, butyric acid, etc. Our VFA analysis process is as follows:

  • Sample pre-treatment: This step involves extraction, purification, concentration of analytes, etc.
  • VFA detection: We have a wide range of advanced techniques to analyze, identify, and quantify VFA in various types of samples including Biomass.
    • Ion chromatography (IC): This method involves simple pre-treatment, does not require separation through high temperatures, and gives accurate and reliable results.
    • Gas chromatography (GC): GC is used to monitor changes in the concentration of VFAs in anaerobic digestion. VFAs are thermally stable and volatile compounds that are easily separated by GC and measured.
  • Data analysis: We calculate and analyze in detail the concentrations of VFAs.

Detection indicators

Our VFA analysis includes testing for the following seven substances.

  • Lactic acid
  • Acetic acid
  • Propionic acid
  • Butyric acid
  • lsobutyric acid
  • Valeric acid
  • lsovaleric acid

Advantages of VFA Profiling Service

  • Senior experts: We have senior experts in the field of anaerobic digestion and VFA analysis responsible for the design and completion of the entire project.
  • Advanced technology: We use advanced technology such as GC and IC to detect VFA and perform detailed analysis.
  • Rapid analysis cycle: We can handle multiple samples at the same time and have a fast analysis cycle.

Creative Biolabs provides a reliable VFA analysis service with advanced technology. We follow strict quality control standards to ensure the reliability and accuracy of the analysis results. Welcome to contact us if you need efficient and accurate VFA analysis. Our testing team will be the first to contact you and understand your needs.

Published data

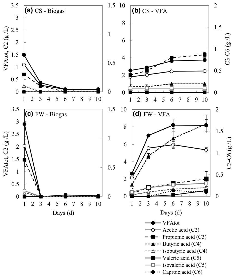
VFAs are intermediate in the methane formation pathway in anaerobic digestion. They can be used as green chemicals and raw materials for production. In this study, anaerobic digestion of cattle manure and food waste was evaluated. The changes in various VFAs were also detected by GC. By comparison, the researchers found that both wastes could be anaerobically digested to produce green chemicals and that the yield of VFAs was dependent on inoculum properties and substrate. This study provides a model for detecting and analyzing VFAs.

Fig.2 Changes in VFAs during anaerobic digestion of cattle manure and food waste. (Tampio, et al., 2019)Fig.2 Changes in different VFAs.1, 2

FAQs

Q1: What are the applications of VFA analysis?

A1: VFA analysis has a variety of applications and provides valuable insights for anaerobic digestion process optimization and feedstock suitability assessment.

  • Process monitoring: VFA analysis is used to monitor the anaerobic digestion process, and assess the efficiency of the process.
  • Process optimization: VFA analysis provides valuable information for understanding microbial activity and optimizing anaerobic digestion process parameters.
  • Substrate selection: VFA analysis helps to evaluate the suitability of different substrates for anaerobic digestion.
  • Digestate quality: VFA analysis provides information on the availability of digestate produced during anaerobic digestion.

Q2: What are the disadvantages of VFA accumulation during anaerobic digestion?

A2: Accumulation of VFAs is one of the parameters that should be considered during anaerobic digestion. Studies show that the accumulation of VFAs can lead to a decrease in pH, which inhibits methanogenic bacteria and leads to anaerobic digester failure, reduced methane production, etc.

Customer Review

Detailed and Accurate VFA Analysis for Anaerobic Digestion
"Creative Biolabs has always been a trusted partner. They helped us accurately assay VFA levels and communicated progress promptly throughout the analysis. Their detailed analysis of the results was impressive in providing accurate and valuable information for our anaerobic digestion research projects."

Reliable VFA Analysis
"Creative Biolabs utilized advanced technology to provide us with reliable VFA analysis results. The whole collaboration experience was also very good. Their friendly, professional, and enthusiastic staff were always available to answer our questions about the VFA analysis and ensure that our needs were fully met. We highly recommend their VFA analysis services."

References

  1. Tampio, Elina A., et al. "Volatile fatty acids (VFAs) and methane from food waste and cow slurry: Comparison of biogas and VFA fermentation processes." Gcb Bioenergy 11.1 (2019): 72-84.
  2. Under Open Access license CC BY 4.0, without modification.
For Research Use Only.

Related Services

Online Inquiry
Creative Biolabs-Glycoprotein Contact Us Follow us on
Close
Thanksgiving
Thanksgiving