Creative Biolabs-Lipid Based Drug Delivery

Liposomal Solutions for Obesity & Weight Loss Research

Overview Liposome in Weight Management Research Insights Products & Services Resources

Overcoming the challenge of oral delivery for potent polyphenols in obesity treatment is complex. At Creative Biolabs, we provide tailored, one-on-one liposomal solutions to transform these challenges into effective therapeutic realities.

Liposomal Solutions for Obesity & Weight Loss Research

Obesity represents a critical global health challenge in our contemporary world, significantly contributing to numerous chronic diseases such as diabetes, cardiovascular disorders, and certain cancers. Although lifestyle modifications form the bedrock of prevention and management, the quest for effective and safe therapeutic interventions continues to propel innovation within pharmaceutical research. A particularly promising frontier in this endeavor involves advanced drug delivery systems. Notably, lipid-based strategies have emerged as powerful tools capable of enhancing the efficacy and bioavailability of therapeutic compounds. Within this category, liposomes are gaining considerable attention as sophisticated carriers for a diverse range of substances, encompassing both small molecules and intricate natural bioactive components.

Key Aspects of Liposomal Delivery for Weight Management

Liposomes, microscopic vesicles composed of a lipid bilayer, offer a versatile platform for drug encapsulation. Their unique structure allows them to encapsulate both hydrophilic and lipophilic compounds, protecting them from degradation and facilitating their delivery to target sites. For weight management, this translates into several critical advantages:

  • Enhanced Bioavailability: Many potent natural compounds, such as polyphenols derived from plants like Hibiscus sabdariffa and Zingiber officinale, possess significant anti-obesity properties. However, their therapeutic potential is often hampered by poor bioavailability due to their susceptibility to degradation in the harsh gastrointestinal environment (e.g., acidic pH, enzymatic activity). Liposomal encapsulation provides a protective shield, preserving the integrity of these sensitive molecules and significantly improving their absorption and systemic availability, as highlighted by recent research.
  • Targeted Delivery & Reduced Side Effects: Liposomes can be engineered to achieve passive or active targeting, potentially accumulating in adipose tissue or other metabolically active organs relevant to obesity. This targeted approach can lead to improved therapeutic efficacy at lower doses, simultaneously minimizing off-target effects and enhancing the safety profile of the encapsulated agents.
  • Co-delivery Strategies: Obesity is a multifactorial disease, often benefiting from multi-pronged therapeutic approaches. Liposomes excel in their capacity for co-delivery, allowing for the simultaneous encapsulation of multiple active ingredients. For instance, combining polyphenols from H. sabdariffa and Z. officinale within a single liposomal formulation can harness synergistic effects, offering a more comprehensive and potent therapeutic strategy for weight loss.
  • Improved Efficacy: By overcoming bioavailability challenges and enabling targeted or sustained release, liposomal formulations can lead to superior therapeutic outcomes. A compelling study demonstrated that liposomal suspension treatment in a murine model fed a hypercaloric diet resulted in a better reduction of body weight, low-density lipoprotein/very-low-density lipoprotein cholesterol (LDL-C/VLDL-C, and aspartate aminotransferase (AST), alongside an increase in beneficial high-density lipoprotein cholesterol (HDL-C), underscoring their potential as an effective treatment for obesity.

Experimental Insights into Co-Delivered Liposomes for Obesity

The scientific community's interest in natural compounds for weight management continues to grow, driven by a desire for safer and more sustainable therapeutic options. The integration of these compounds with advanced delivery systems like liposomes represents a significant leap forward. Recent research, as exemplified by the study on liposomal H. sabdariffa and Z. officinale extracts, provides robust evidence for the enhanced efficacy of such formulations. This research underscores the importance of encapsulation technologies in unlocking the full therapeutic potential of these botanical extracts. Furthermore, the development of oral liposomal suspensions is a notable advancement, offering a patient-friendly and convenient administration route, which is crucial for long-term adherence in chronic conditions like obesity.

  • Bioactive Compound Extraction and Analysis

Research into liposomal therapies for obesity begins with the meticulous extraction and comprehensive analysis of active compounds, such as polyphenols from H. sabdariffa and Z. officinale. This crucial initial step ensures the purity and stability of these sensitive molecules, which are otherwise prone to degradation in the gastrointestinal tract. The successful preservation of these compounds through careful extraction and analysis is foundational to their therapeutic efficacy within liposomal formulations.

  • Optimized Preparation of Co-delivered Liposomes

The preparation of co-delivered liposomes is a sophisticated process designed to maximize the therapeutic impact of multiple active ingredients. By encapsulating synergistic compounds like polyphenols into stable liposomal structures, researchers aim to protect them from premature degradation and facilitate their targeted delivery. This methodology ensures optimal loading efficiency and stability, resulting in oral liposomal suspensions that effectively deliver their combined payload, preserving biological activity for comprehensive obesity treatment.

Image of CLMS. (OA Literature)Fig. 1 Liposome formation was confirmed by confocal microscopy.1

Characterization of the liposomal suspension
Total phenols
(mg GAE/g dry sample)
18.44 ± 0.083
Particle size
(nm)
153.46 ± 0.35
PDI
0.34 ± 0.02
Zeta potential (mV) ±0.62
Encapsulation efficiency of phenolic compounds (%) 64.4 ± 2.1
Concentration (particles/mL) 14,800 × 108
  • Preclinical Efficacy in Hypercaloric Diet (HCD) Animal Models

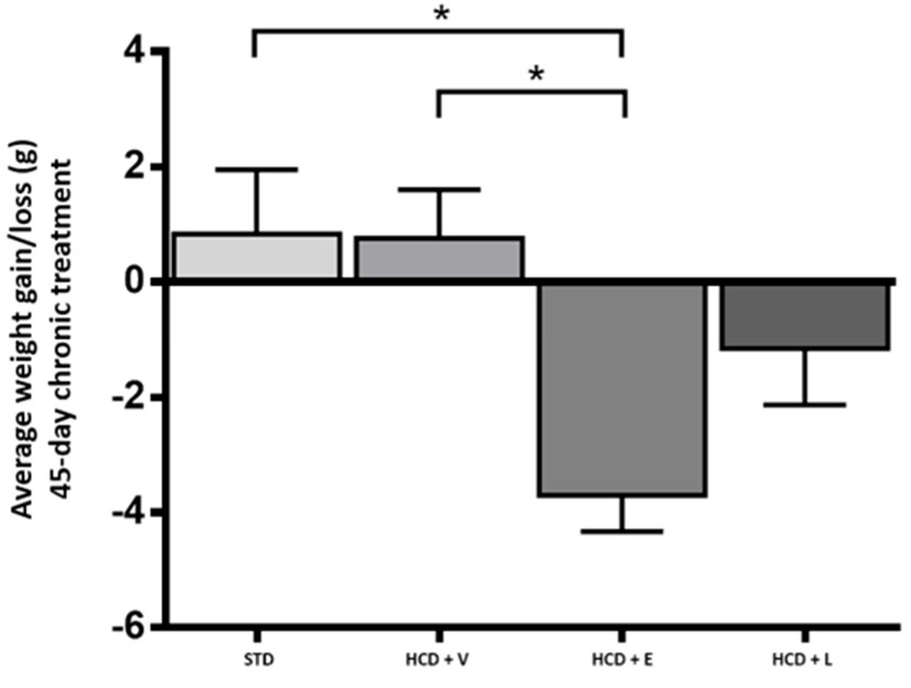
Preclinical validation in relevant animal models is indispensable for evaluating novel liposomal formulations. Studies using HCD animals directly mimic obesity-related metabolic conditions. Study demonstrated that liposomal suspensions containing H. sabdariffa and Z. officinale extracts administered to HCD murine models led to a superior reduction in body weight. Furthermore, favorable changes were observed in lipid profiles (decreased LDL/VLDL and increased HDL-C) and liver enzyme levels (reduced AST). These robust in vivo findings strongly support the potential of liposomal formulations as an effective and complementary approach for obesity treatment.

Weight changes at the end of chronic treatment. (OA Literature) Fig. 2 Change in body weight at the end of the 45-day chronic treatment.1

Creative Biolabs' expertise illuminates the transformative potential of liposomal solutions in obesity and weight loss research, particularly for addressing complex challenges such as polyphenol co-delivery. We are dedicated to delivering professional, cutting-edge solutions that drive progress in this vital field. We invite you to connect with our specialists today.

Related Products & Services

As your trusted partner, Creative Biolabs offers comprehensive services spanning the entire lifecycle of drug-loaded liposome development for obesity and weight loss. From advanced co-delivery strategies to a rich portfolio of ready-to-use liposome products, our unparalleled scientific expertise, cutting-edge technology, and unwavering commitment to quality ensure your projects achieve optimal results with confidence and precision.

Services/Products Description Inquiry
Synthesis and Extraction We offer expertise in the synthesis and extraction of various small molecule compounds and natural bioactive ingredients, ensuring high purity and quality for your research and development needs. Inquiry
Content Determination & Quality Analysis Our advanced analytical capabilities extend to precise content determination and comprehensive quality analysis of compounds, guaranteeing the integrity and potency of your active pharmaceutical ingredients. Inquiry
Formulation Development We assist clients in developing optimized liposomal suspensions for a diverse range of payloads, including small molecule drugs and complex polyphenols for co-delivery strategies. Our expertise ensures that formulations are stable, efficient, and tailored to specific therapeutic goals. Inquiry
Characterization of Co-delivered Liposomes We specialize in the rigorous characterization of co-delivered liposomes, ensuring optimal encapsulation, stability, and release profiles for multi-component therapeutic strategies. Inquiry
Preclinical Validation We provide various animal models, including those for obesity and cardiovascular and cerebrovascular diseases, to facilitate robust preclinical validation. Inquiry
Drug-loaded Liposome Products We offer a rich range of ready-to-use liposome products designed to meet diverse customer delivery needs for various drugs, providing immediate solutions for your research and development. Inquiry

Resources

Reference

  1. Palomo-Martínez, Luis Edwardo, et al. "Anti-Obesity Effect of Liposomal Suspension and Extracts of Hibiscus sabdariffa and Zingiber officinale in a Murine Model Fed a Hypercaloric Diet." Nutrients 17.14 (2025): 2275. doi: org/10.3390/nu17142275. Distributed under Open Access license CC BY 4.0, without modification.
For Research Use Only. Not For Clinical Use

Supports

Formulation Background of Liposome Research Highlights
Resources Technical Supports Featured Services Knowledge Center
Optimizing LNP Molar Ratios for Transfection Efficiency
Scalability Challenges in mRNA-LNP Manufacturing
Beyond mRNA: LNP Delivery for CRISPR/Cas9
Cationic Lipids Evolution: DOTAP to Ionizable Lipids
LNP Storage Stability: Lyophilization vs. Liquid
Modulating LNP Biodistribution: Overcoming Liver Accumulation
Active vs. Passive Targeting (EPR): A Guide to Tumor Drug Delivery
Immunoliposomes: Comparing Pre-insertion vs. Post-insertion Techniques
Crossing the BBB: Advances in Transferrin and Peptide-Modified Liposomes
pH-Responsive Liposomes for Tumor Microenvironment
Thermosensitive Liposomes combined with HIFU
Aptamer-Modified Liposomes: A Cost-Effective Antibody Alternative
Ethosomes vs Transfersomes for Dermal Delivery
Strategies for Encapsulating Poorly Water-Soluble Small Molecules in Liposomes
Multivesicular Liposomes: The Architecture of Sustained Release
Mechanisms of Liposomal Adjuvants in Enhancing Vaccine Immune Response
Protecting Enzymatic Activity: Liposomal Encapsulation Strategies for Enzymes
Cryo-TEM vs. DLS: Interpreting Discrepancies in Liposome Particle Size Data
Validating In Vitro Release Methods: Dialysis vs. Sample Separation Techniques
Predicting Long-Term Stability of Liposomal Suspensions using Zeta Potential
Troubleshooting Low Liposome Encapsulation Efficiency
Application of Multi-omics Analysis in Liposome Toxicology Assessment
The Ultimate Guide to Liposome Preparation
Fluorescent Liposomes for Cellular Uptake: Labeling, Controls, and Troubleshooting
How to Design Stealth Liposomes for Long Circulation
Homemade vs. Commercial Kits: Why Standardization Matters in Liposome Research
Develop Targeted Liposomes: Target Selection to Cellular Validation
Optimizing Ligand Density on Liposomes for Targeted Delivery
Directional Antibody Conjugation and Activity Retention in Immunoliposome Development
Peptide-Modified Liposomes: Screening and Conjugation Strategies
High-Affinity Aptamers and Efficient Liposomal Delivery
When to Use Cleavable PEG in Lipid-Based Delivery
Glycosylated Liposomes: Balancing Receptor-Mediated Uptake and Immune Recognition
Folic Acid and Other Vitamin Ligands for Targeted Liposomes
Formulation Optimization to Targeting: Liposome Parameters and Biological Readouts
Imaging Liposome Development: Labeling Strategy, Signal-to-Noise Ratio, and Stability
Charged Liposome Development: Cationic vs Neutral vs Anionic
Cationic Liposome Development for Efficient Transfection with Reduced Toxicity
Neutral Liposome Development for Stability and Long Circulation
Anionic Liposomes in Drug Delivery: Surface Charge and Cellular Uptake
PG Anionic Liposome: Membrane Stability and Payload Compatibility
Transfersome Development: Edge Activators, Size Optimization, and Permeation Testing
High-Ethanol Ethosomes: Drug Loading, Stability, and Skin Irritation in Transdermal Delivery
Dermal Delivery: Franz Diffusion Cells vs. Dialysis
Liposomes Fail in Skin Applications: A Practical Troubleshooting Guide
Key CQAs for Liposomal Skin Delivery: Stability, Loading and Irritation
Gradient Loading and Formulation Design for Small Molecule Liposomes
Protein & Peptide Liposomes: Preventing Denaturation and Controlled Release
Liposome vs. LNP: The Key Difference in Nucleic Acid Delivery
Nucleic Acid Liposomal Delivery: Endosomal Escape and Expression
Prodrug Liposomes: Translating Chemical Design into Delivery Advantages
Enzyme-Loaded Liposomes: Activity Retention, Protection & Batch Consistency
Adjuvant Liposome Composition Shapes the Immune Activation Window & Safety Profile
Multivesicular Liposomes: High Payload Capacity for Sustained Drug Release
Encapsulation vs. Delivery: Payload Compatibility in Liposomal Formulations
Liposome Payload Troubleshooting: Low Encapsulation, Precipitation & Uncontrolled Release
Webinars

Online Inquiry