Digital PCR

Polymerase chain reaction (PCR) is a molecular biology technique that uses DNA polymerase to exponentially amplify DNA under specific conditions. Traditional PCR technology usually requires gel electrophoresis or fluorescent probes to qualitatively or relatively quantify the amplified products, but these methods have some limitations, such as cumbersome operation, low sensitivity, poor accuracy, and susceptibility to inhibitors. To achieve absolute quantification of nucleic acid molecules, digital PCR (dPCR) technology was proposed in the late 1990s. Digital PCR technology is a technique that dilutes the sample to the single-molecule level, distributes it evenly into a large number of independent micro-reaction units for PCR amplification, and calculates the nucleic acid copy number based on the Poisson distribution and positive ratio. Digital PCR technology does not depend on standard curves or amplification efficiency and has higher sensitivity, accuracy, and repeatability. It can achieve absolute quantification of samples.

Principles and Key Steps of Digital PCR

The core of digital PCR technology is to micro-partition the sample so that each micro-reaction unit contains zero, one, or a few nucleic acid molecules, perform PCR amplification and fluorescence detection, and finally calculate the nucleic acid copy number based on the Poisson distribution and positive ratio. The working principle and key steps of digital PCR technology are as follows:

Sample preparation: Same as traditional PCR or qPCR, first extract, purify, and quantify the target nucleic acid molecules, and then add an appropriate PCR reaction system, including primers, probes, buffer, dNTPs, DNA polymerase, etc. If specific mutations or variations need to be detected, specific primers or probes can also be used.

Sample partitioning: dilute the sample to the single-molecule level and distribute it evenly into a large number of independent micro-reaction units. This step is the key to digital PCR technology and also the biggest difference from traditional PCR, or qPCR. Different types of digital PCR platforms use different methods to achieve sample partitioning, mainly divided into two types: droplet digital PCR (ddPCR) based on droplet microfluidics and array chip-based PCR based on chip-based microfluidics. ddPCR technology uses an oil-water emulsion system to disperse the sample into tens of thousands of uniform-sized droplets. Each droplet is about 1 nanoliter (nL). Chip-based PCR technology uses a microfluidic chip to disperse the sample into thousands of fixed-position microwells. Each microwell is about 10–100 picoliters (pL).

PCR amplification: Perform PCR amplification on the partitioned samples in a constant-temperature instrument or thermal cycler. As with traditional PCR or qPCR, each cycle includes three steps: denaturation, annealing, and extension. Because each micro-reaction unit contains only zero, one, or a few nucleic acid molecules, there is no competition or inhibition phenomenon, and the amplification efficiency is higher and more uniform. At the same time, fluorescent probes or dyes are added to the reaction system to make the amplified products emit fluorescent signals.

Fluorescence detection: Perform fluorescence detection on each micro-reaction unit after amplification. According to the threshold of fluorescence intensity, each micro-reaction unit is determined as positive or negative. Positive means that the unit contains the target nucleic acid molecule and successfully amplifies and emits fluorescence; negative means that the unit does not contain the target nucleic acid molecule, amplifies unsuccessfully, or emits fluorescence below the threshold. Different types of digital PCR platforms use different methods to achieve fluorescence detection. ddPCR technology uses a flow cytometer to sort and detect each droplet; chip-based PCR technology uses a high-resolution camera to image and detect each microwell.

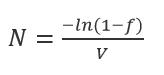
Data analysis: Based on the ratio of positive and negative reactions, use the Poisson distribution to calculate the absolute copy number of target nucleic acid molecules. The Poisson distribution is a mathematical model that describes the probability of discrete random events occurring, which is applicable to the situation of digital PCR after sample partitioning. According to the Poisson distribution, the absolute copy number of target nucleic acid molecules can be calculated by the following formula:

Digital PCR

Where N is the absolute copy number of target nucleic acid molecules, f is the proportion of positive reaction units, and V is the volume of each reaction unit. Through this formula, the absolute concentration of target nucleic acid molecules can be directly obtained without relying on standard curves or amplification efficiency.

Applications of Digital PCR

Digital PCR is an advanced molecular diagnostic technique that can play an important role in different fields. Digital PCR can be used for gene detection, such as detecting single nucleotide polymorphisms (SNPs), copy number variations (CNVs), gene expression levels (GE), gene rearrangements (GR), and gene editing (GE). These detections can help understand the function, variation, and regulation of genes, as well as their association with diseases. Digital PCR can also be used for disease diagnosis, such as detecting relevant biomarkers for infectious diseases (ID), genetic diseases (GD), cancer, autoimmune diseases (AI), and organ transplantation (OT). These diagnoses can help with early detection, accurate assessment, and effective treatment of diseases. Digital PCR can also be used for biotechnology, such as gene therapy (GT), gene drive (GD), genome editing (GE), bio-tracers (BM), and biosafety (BS). These technologies can help improve human health, the environment, and society.

Online Inquiry

For research use only. Not intended for any clinical use.

This site is protected by reCAPTCHA and the Google Privacy Policy and Terms of Service apply.