Polysaccharide-other
With Ph.D. level scientists and over a decade of experience in recombinant antibody production, antibody engineering, antibody detection, and disease diagnosis, scientists at Creative Biolabs are focusing on applying excellent science and technology to develop a potential new anti-glycan antibody with the goal of becoming first-in-class diagnostics and therapeutics. We now provide comprehensive anti-polysaccharide antibody services for various applications to fit your research demands.
Polysaccharide-other
- Fungal/Yeast Polysaccharides
The composition of the cell wall of yeast and filamentous fungi varies between species. However, there are structural similarities and the predominant sugars are limited to glucose, galactose, and mannose. These include chitin (β-1,4-N-actetylglucosamine) and β-1,3(β-1,6)-glucans, which are core elements that provide tensile strength to the cell wall; and surface mannoproteins (MP). Yeast mannan is a highly branched complex carbohydrate an α-1,6 backbone, with α-1,2; and α-1,3-linked mannose sidechains. Some sidechains are further branched through phosphate ester bonds. C. albicans mannan has a conserved core structure with S. cerevisiae but displays signature β-1,2 mannosyl residues at the termini of its sidechains.
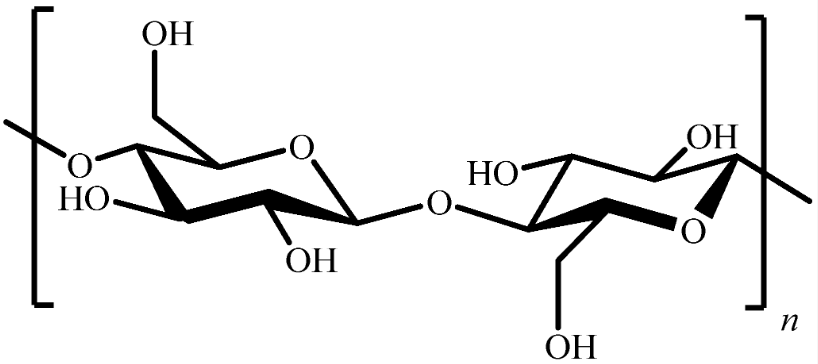
Fig.1 hemical structure of cellulose.1, 3
- Archaebacteria Polysaccharide
Mostly, the cell wall of Archaea is represented by a proteinaceous surface (S-) layer but there are a lot of other cell well variants. Archaea contain polysaccharides and proteins but lack peptidoglycan. For example, the cell wall of Halococcus morrhuae (H. morrhuae) is composed of a complex, highly sulfated heterosaccharide consisting of glucosamine, galactosamine, gulosaminuronic acid, glucose, galactose, mannose, glucuronic acid, galacturonic acid, N-acetylated amino sugars, and sulfated subunits. Different heteropolysaccharides (HP) are thought to be connected via glycine bridges.
- Functions of Polysaccharide
The functional activity of polysaccharides mainly depends on molecular weight (MW), degree of branching, water-solubility, structure, configuration and so forth.
- Polysaccharides serve as a taxonomic tool. For example, lichen polysaccharides have been used as a taxonomic tool and chemotaxonomic classification has resulted in clarification of conflicting taxonomic data.
- The biological activities of fungal polysaccharides reported have been related to anti-tumor, anti-microbial, immune-stimulation or immunomodulatory activity, nutritional component, hypoglycemic activity and so on.
- Polysaccharides have formed the basis of the development of serological tests for the diagnosis of systemic fungal infection since their presence in the biological fluids of infected immunocompromised patients is directly correlated to fungal growth.
Fig.2 Potential and actual applications of polysaccharide-based superabsorbent.2, 3
Equipped with state-of-the-art research and manufacturing facilities, Creative Biolabs has gained significant knowledge and rich experiences in antibody-related services. We are more than happy to share our experience and help our customers in anti-polysaccharides antibody development. Please contact us for more information and a detailed quote.
References:
- Díaz Bukvic, Gema, Ezequiel Rossi, and María Inés Errea. "Polysaccharides as economic and sustainable raw materials for the preparation of adsorbents for water treatment." Polysaccharides 4.3 (2023): 219-255.
- Llanes, Ludovic, et al. "Biosourced polysaccharide-based superabsorbents." Polysaccharides 1.1 (2020): 51-79.
- Distributed under Open Access license CC BY 4.0, without modification.
